EasyManua.ls Logo

Nokia RM-721 - WCDMA Receiver Troubleshooting Flowchart

Nokia RM-721
160 pages
Print Icon
To Next Page IconTo Next Page
To Next Page IconTo Next Page
To Previous Page IconTo Previous Page
To Previous Page IconTo Previous Page
Loading...
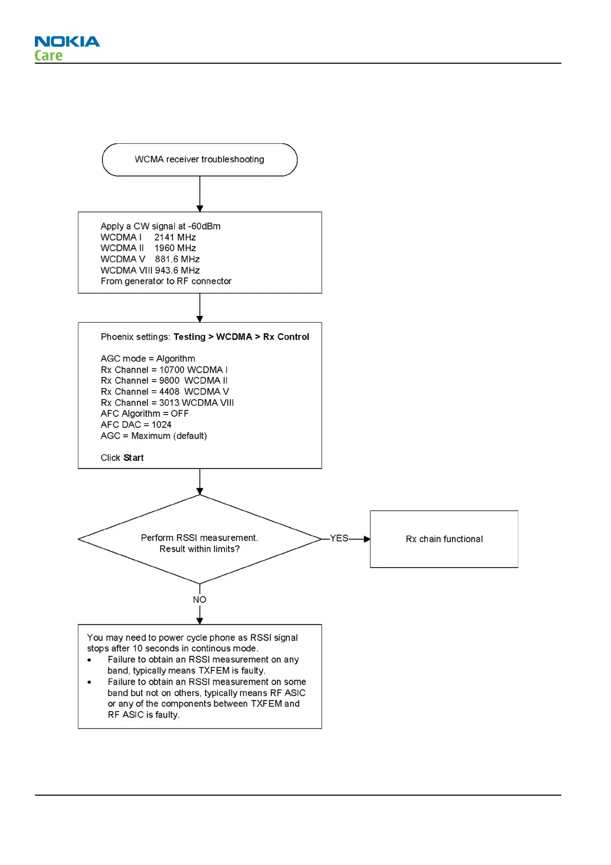
WCDMA receiver troubleshooting flowchart
Troubleshooting flow
RM-721; RM-722
RF Troubleshooting
Page 4 – 12 COMPANY CONFIDENTIAL Issue 1
Copyright © 2011 Nokia. All rights reserved.

Table of Contents

Related product manuals