EasyManua.ls Logo

Siemens Milltronics BW100 - Page 45

Siemens Milltronics BW100
78 pages
Print Icon
To Next Page IconTo Next Page
To Next Page IconTo Next Page
To Previous Page IconTo Previous Page
To Previous Page IconTo Previous Page
Loading...
7ML19985DJ01 Milltronics BW100 - INSTRUCTION MANUAL Page 41
mmmmm
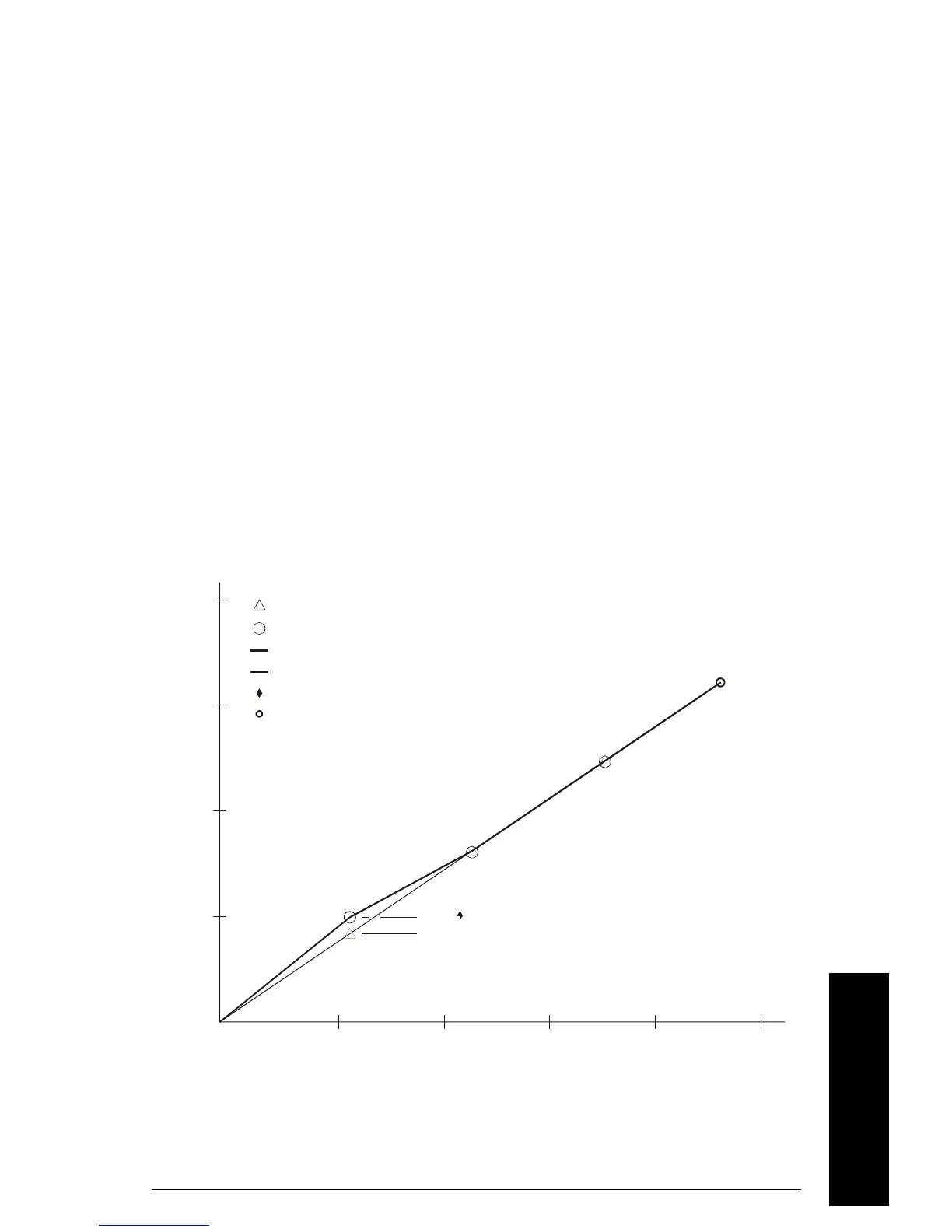
Recalibration
Program the BW100 as follows: P390 = 1
P391 = 11.6
P392 = -14.3
P393 = 23.2
P394 = 10.5
P395 = 34.7
P396 = -8
Often only one point of compensation is required, usually at a low load value. In the prior
example, if compensation was only required at 11.6 kg/m, the programming could be as
follows. Compensation is optimized by establishing the next load value that agrees with
the material test, hence where compensation is zero and entering it as the next
compensation point.
P390 = 1
P391 = 11.6
P392 = -14.3
P393 = 23.2
P394 = 0
P395 = 34.7
P396 = 0
5
10
15
20
010
-14.0
20 30 40 50
load - kg / m
weight = tonnes
actual weight per material test
totalized weight by BW100
belt scale response
linearized BW100 response
% compensation
span (100%)
3

Related product manuals