EasyManua.ls Logo

Siemens SIPROTEC 7SJ61 - Negative Sequence Protection 46; Definite Time Characteristic

Siemens SIPROTEC 7SJ61
454 pages
Print Icon
To Next Page IconTo Next Page
To Next Page IconTo Next Page
To Previous Page IconTo Previous Page
To Previous Page IconTo Previous Page
Loading...
Functions
2.5 Negative Sequence Protection 46
SIPROTEC, 7SJ61, Manual
C53000-G1140-C210-1, Release date 02.2008
94
2.5 Negative Sequence Protection 46
Negative sequence protection detects unbalanced loads on the system.
Applications
The application of unbalanced load protection to motors has a special significance. Unbalanced loads create
counter-rotating fields in three-phase induction motors, which act on the rotor at double frequency. Eddy cur-
rents are induced at the rotor surface, and local overheating in rotor end zones and the slot wedge begins
to take place. This especially goes for motors which are tripped via vacuum contactors with fuses connected
in series. With single-phasing by fuse pickup the motor only generates small and pulsing moments such that
it soon gets strained thermally assuming, however, that the driven machine requires the same amount of
moments. In addition, with unbalanced supply voltage it is endangered by thermal overload. Due to the small
negative sequence reactance even small voltage asymmetries lead to negative sequence currents.
In addition, this protection function may be used to detect interruptions, short circuits and polarity problems
with current transformers.
It is also useful in detecting single-pole and two-pole faults with fault currents lower than the maximum load
currents.
Prerequisites
The unbalanced load protection becomes effective when:
a minimum phase current is larger than 0.1 x I
Nom
and
all phase currents are smaller than 10 x I
Nom
.
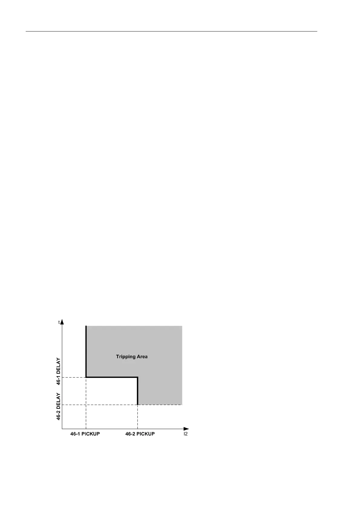
2.5.1 Definite Time Characteristic
The definite time characteristic consists of two elements. As soon as the first settable threshold 46-1 PICKUP
is reached, a pickup message is output and time element 46-1 DELAY is started. When the second element
46-2 PICKUP is started, another message is output and time element 46-2 DELAY is initiated. Once either
time delay elapses, a trip signal is initiated.
Figure 2-27 Definite time characteristic for negative sequence protection

Table of Contents

Other manuals for Siemens SIPROTEC 7SJ61

Related product manuals