EasyManua.ls Logo

THERA-Trainer TIGO - Page 67

Default Icon
84 pages
Print Icon
To Next Page IconTo Next Page
To Next Page IconTo Next Page
To Previous Page IconTo Previous Page
To Previous Page IconTo Previous Page
Loading...
67
Art. No.: A002-629_Rev 06
Last update: CW19/2018
THERA-Trainer tigo / THERA-Trainer veho - User manual
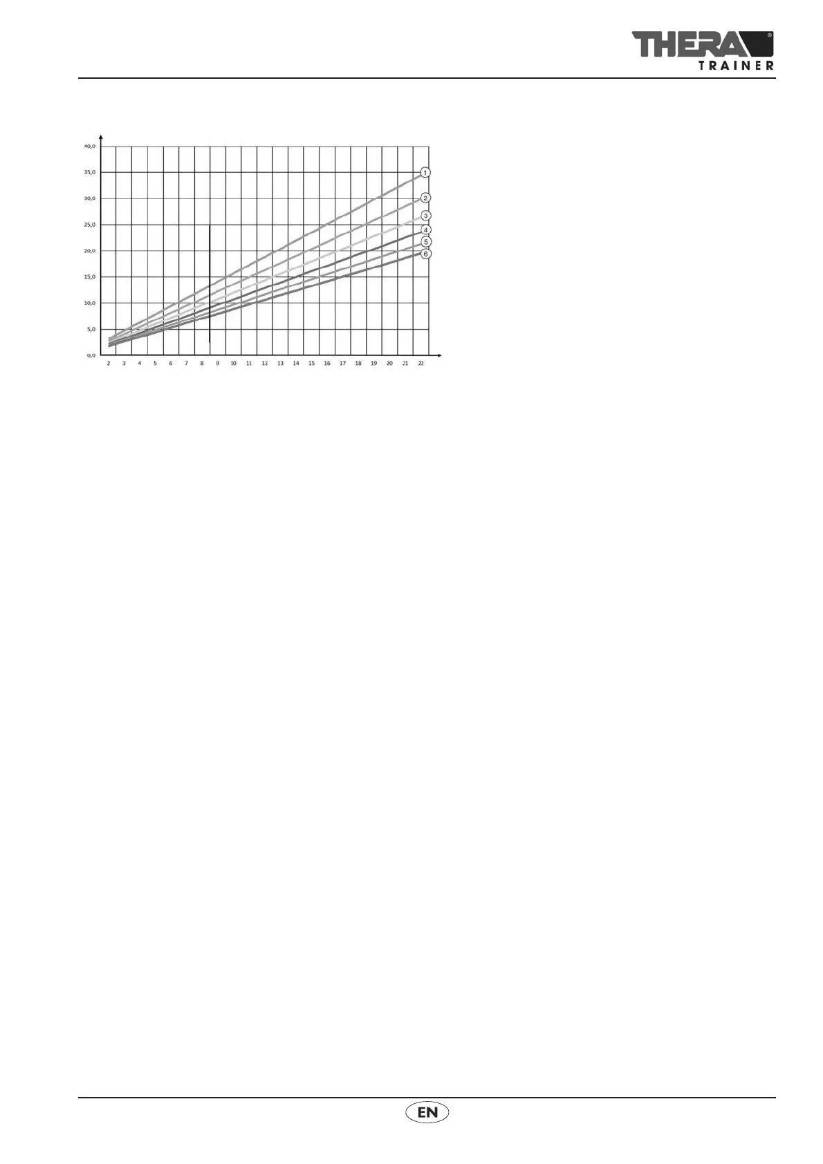
Joint forces
in kg
(1) Position 1 = radius adjustment 6.5 cm
(2) Position 2 = radius adjustment 7.5 cm
(3) Position 3 = radius adjustment 8.5 cm
(4) Position 4 = radius adjustment 9.5 cm
(5) Position 5 = radius adjustment 10.5 cm
(6) Position 6 = radius adjustment 11.5 cm
The diagram shows the joint forces acting on the user in dependence on the motor
power setting and radius adjustment.
M = torque (power) of the motor
- = marks of stepless radius adjustment
= very small radius, for a 2-stepped radius adjustment roughly corresponds
to mark 2
= very large radius, for a 2-stepped radius adjustment roughly corresponds
to mark 6
Upper body exercise
For upper body training, observe marks
and .
= long crank (110 mm)
= short crank (75 mm)
Before every training session:
Consult therapist or doctor regarding the joint forces admissible for/acting
on the user.
Set crank length and motor power accordingly.
M (Nm)

Table of Contents