EasyManua.ls Logo

THERA-Trainer TIGO - Joint Force

Default Icon
84 pages
Print Icon
To Next Page IconTo Next Page
To Next Page IconTo Next Page
To Previous Page IconTo Previous Page
To Previous Page IconTo Previous Page
Loading...
THERA-Trainer tigo / THERA-Trainer veho - User manual
66
Art. No.: A002-629_Rev 06
Last update: CW19/2018
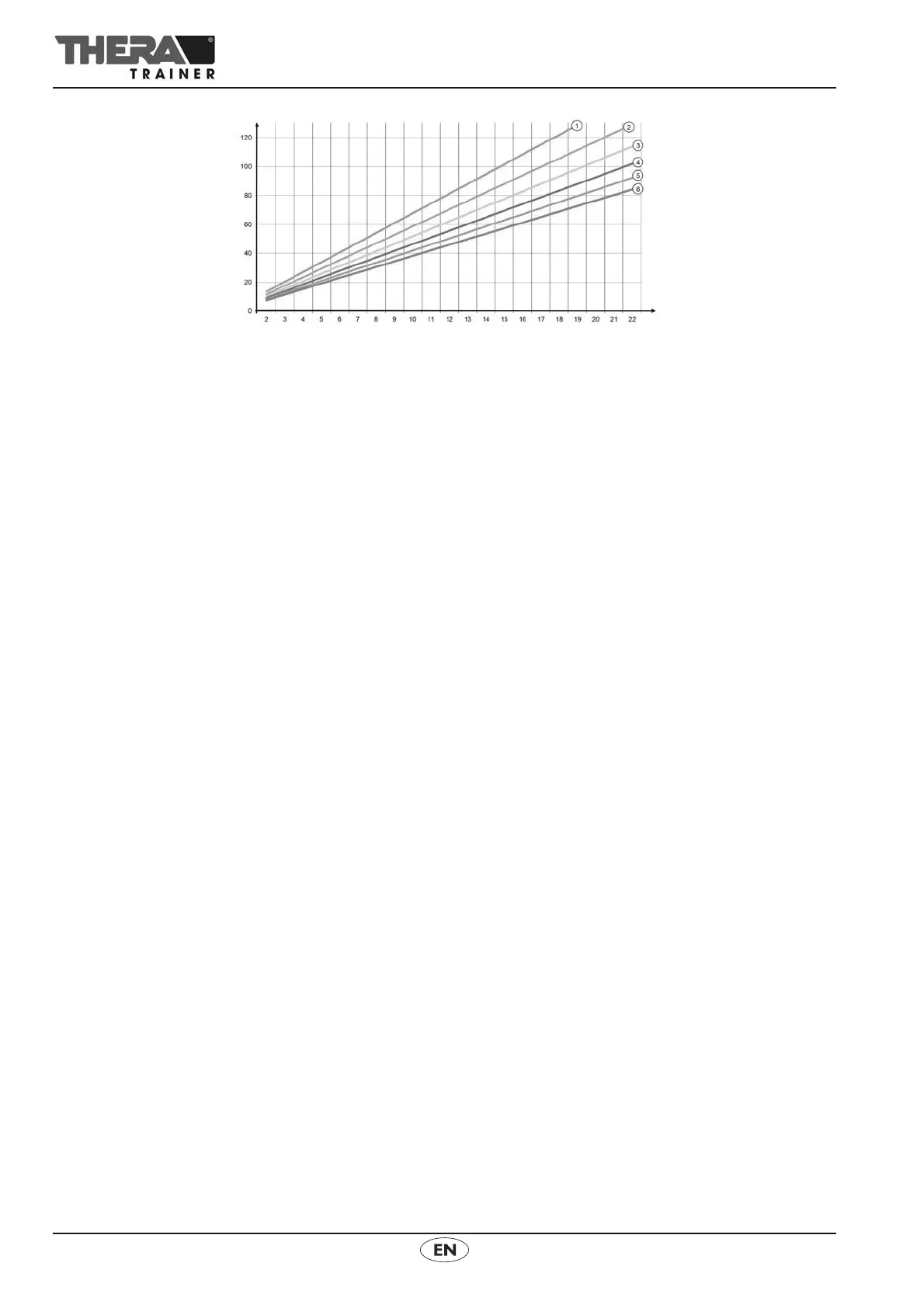
(1) Position 1 = radius adjustment 6.5 cm
(2) Position 2 = radius adjustment 7.5 cm
(3) Position 3 = radius adjustment 8.5 cm
(4) Position 4 = radius adjustment 9.5 cm
(5) Position 5 = radius adjustment 10.5 cm
(6) Position 6 = radius adjustment 11.5 cm
The diagram shows recommendations for the motor depending on body weight
and radius adjustment. The motor power affects the exercising resistance and
the spasm detection function.
m = mass (weight) of the user, M = torque (power) of the motor
- = marks of stepless radius adjustment
= very small radius, for a 2-stepped radius adjustment roughly corresponds
to mark 2
= very large radius, for a 2-stepped radius adjustment roughly corresponds
to mark 6
Setting the motor power to fit the user's individual needs:
Limit motor power in sub menu
(see chapter 18.2 Control and display unit with 5.7'' / 7'' / 10.4'' colour screen
and see Control and display unit tigo/veho 2.7" wireless).
high motor power:
high exercising resistance
late spasm detection
low motor power:
low exercising resistance
early spasm detection
for sensitive joint systems
Upper body exercise
For upper body training, observe marks
and .
= long crank (110 mm)
= short crank (75 mm)
Note The diagram below shows which joint forces can act on the user after setting
the motor power.
15.2 Joint force
The joint forces acting on the user
must be considered in every training session.
increase with reduced radius adjustments and higher motor power settings.
Note The motor power for the upper body exerciser is adjustable between 2 and 8 Nm.

Table of Contents