EasyManua.ls Logo

Thytronic Pro-N NVA100X-D - Ground directional overcurrent with calculated residual current - 67 N(Comp); Preface; Operation and settings

Thytronic Pro-N NVA100X-D
376 pages
Print Icon
To Next Page IconTo Next Page
To Next Page IconTo Next Page
To Previous Page IconTo Previous Page
To Previous Page IconTo Previous Page
Loading...
FUNCTION CHARACTERISTICS
215
NVA100X-D - Manual - 02 - 2016
Ground directional overcurrent with calculated residual current - 67N(Comp)
Preface
Four adjustable threshold with programmable operate time are available with characteristics similar
to the 67N protection described in the previous paragraph; the main difference is the residual cur-
rent that is vectorially calculated on the sides of H or L currents. The protection sensitivity is lower
compared to that obtainable with a direct measurement of the residual current from the balance
transformer.
All thresholds for residual current are expressed in pu of the nominal currents I
nH
(H side) and I
nL
(L side).
Operation and settings
Two operating mode may be selected by setting the Mode67N parameter, located inside the Set \
Profi le A(or B) \ Directional earth fault overcurrent-67N \ Common confi guration menu.
The settable operating modes are I (module) or I*cos (projection)
The fi rst and second threshold (I
EDC
>, I
EDC
>>) may be programmed with defi nite or inverse time ac-
cording the following characteristic curves:
Standard Inverse Time (IEC 255-3/BS142 type A or SIT): t = 0.14 · t
EDC
>
inv
/ [(I
EDC
/I
EDC
>
inv
)
0.02
- 1]
Very Inverse Time (IEC 255-3/BS142 type B or VIT): t = 13.5 · t
EDC
>
inv
/ [(I
EDC
/I
ECD
>
inv
) - 1]
Extremely Inverse Time (IEC 255-3/BS142 type C or EIT): t = 80 · t
EDC
>
inv
/ [(I
EDC
/I
EDC
>
inv
)
2
- 1]
Moderately Inverse (ANSI/IEEE type MI): t = t
EDC
>
inv
· {0.01 / [(I
EDC
/I
EDC
>
inv
)
0.02
- 1] + 0.023}
Very Inverse (ANSI/IEEE type VI): t = t
EDC
>
inv
· {3.922 / [(I
EDC
/I
EDC
>
inv
)
2
- 1] + 0.098}
Extremely Inverse (ANSI/IEEE type EI): t = t
EDC
>
inv
· {5.64 / [(I
EDC
/I
EDC
>
inv
)
2
- 1] + 0.024}
Electromechanical (EM): t = t
EDC
>
inv
· {0.28 / [-0236 · (I
EDC
/I
EDC
>
inv
)
-1
+ 0.339]}
Where:
t: operate time
I
EDC>inv,
I
EDC>>inv
: rst and second threshold setting
t
EDC
>
inv
, t
EDC
>>
inv
: rst and second threshold operate time setting
Third and fourth thresholds (I
EDC>>>def,
I
EDC>>>>def
) have defi nite time characteristic.
For all inverse time characteristics, following data applies:
Asymptotic reference value (minimum pickup value): 1.1 I
EDC
> or I
EDC
>>
Minimum operate time: 0.1 s
Range where the equation is valid:
[1]
1.1 ≤ I
EDC
/I
EDC
>
inv
(or I
EDC
>>
inv
) ≤ 20
If I
ED
>
inv
(or I
ED
>>
inv
) pickup 2.5 I
n
, the upper limit is 50 I
n
For all defi nite time elements the upper limit for measuring is 50 I
n
.
Note 1 When the input value is more than 20 times the set point , the operate time is limited to the value corresponding to 20 times the set point
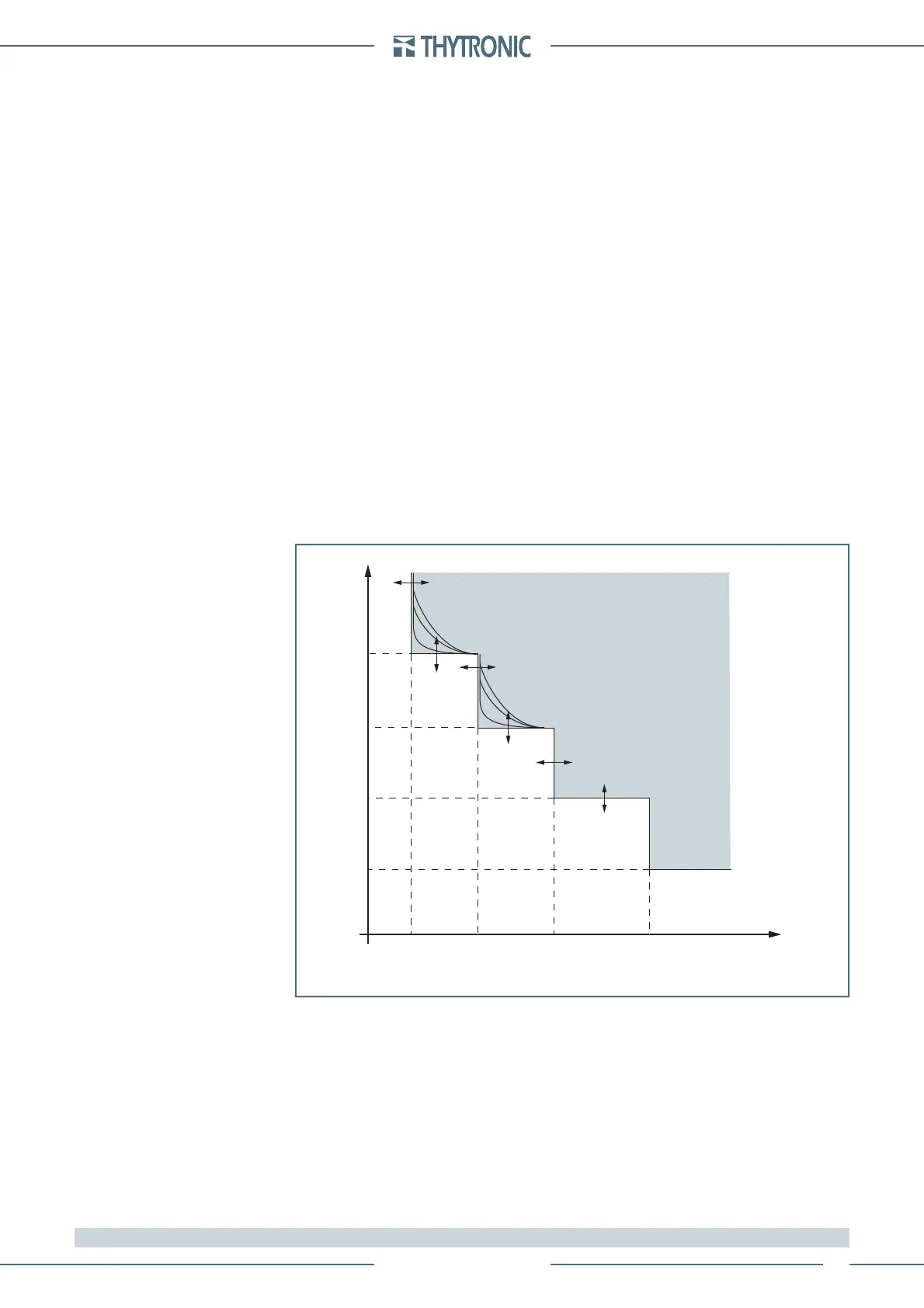
t-int-F67NC.ai
I
ECH or
I
ECL
I
EDC
>> I
EDC
>>> I
EDC
>>>>
t
EDC
>
t
EDC
>>
t
EDC
>>>
t
EDC
>>>>
I
EDC
>
t
General operation time characteristic for the ground directional overcurrent elements - 67N(Comp)
TRIP

Table of Contents

Related product manuals