EasyManua.ls Logo

Viessmann VITOCAL 250-A - Starting and Stopping the Compressor When Heating;Cooling Is Required

Viessmann VITOCAL 250-A
200 pages
Print Icon
To Next Page IconTo Next Page
To Next Page IconTo Next Page
To Previous Page IconTo Previous Page
To Previous Page IconTo Previous Page
Loading...
36
Starting and stopping the compressor when heating/cooling is required
The following criteria influence the start and stop
behaviour of the compressor:
Start and stop hysteresis of 2 K at the following tem-
peratures:
Systems without external buffer cylinder: Flow tem-
perature of the heating/cooling circuit
Systems with external buffer cylinder: Buffer tem-
perature
Start and stop hysteresis of the compressor
Output integral
Systems without external buffer cylinder: Output
integral of the flow temperature
Systems with external buffer cylinder: Output inte-
gral of the buffer temperature
Switch-off due to energy saving functions
Switch-on and switch-off for DHW heating
Output integral of the flow temperature/buffer tem-
perature
To prevent the compressor from switching on or off
immediately if the set flow temperature/set buffer tem-
perature is briefly exceeded or undershot, the control
unit uses the output integral as the start and stop crite-
rion. This output integral is the integral of the duration
and extent of the deviation of the set flow
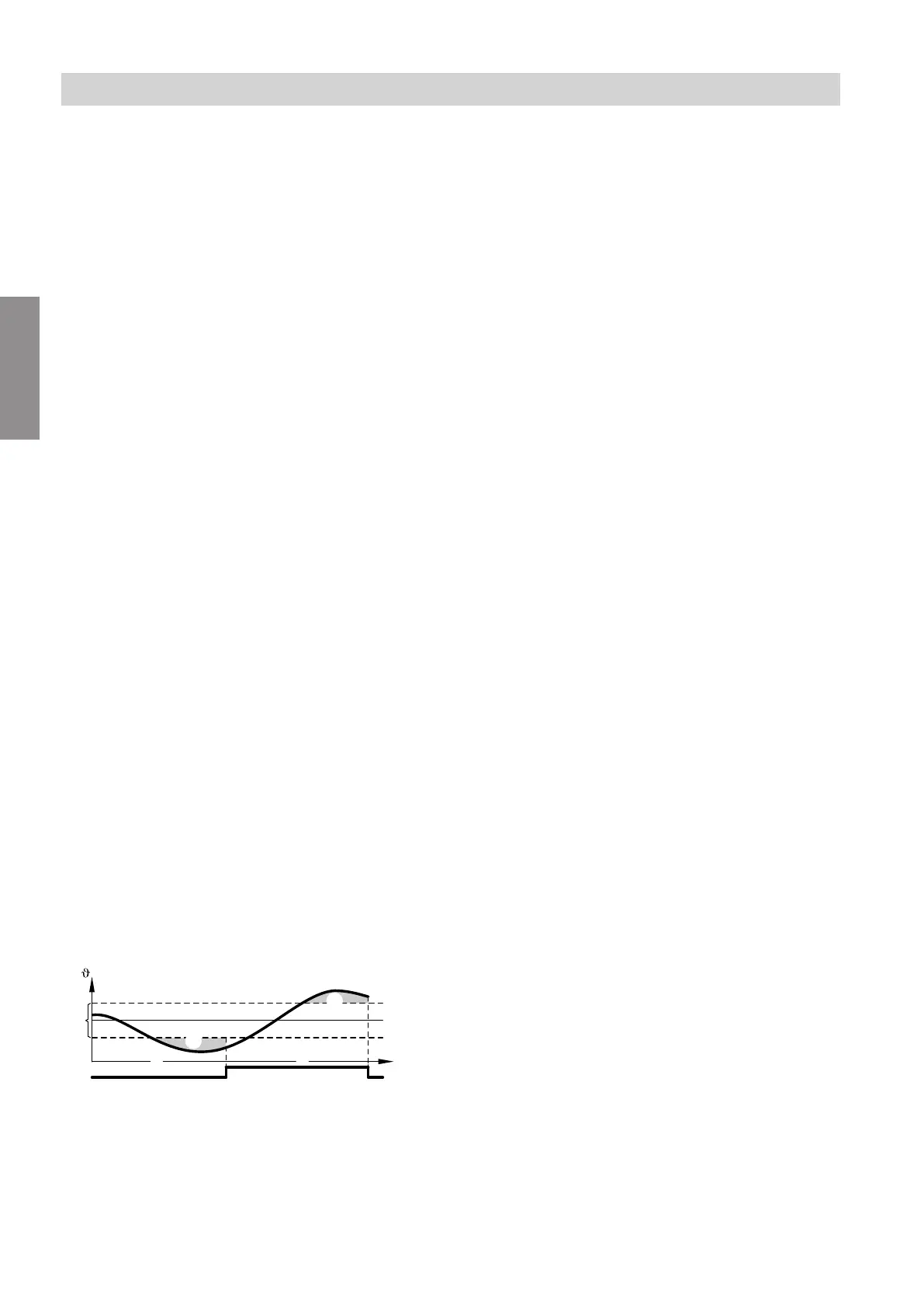
temperature/set buffer temperature from the actual
value. In Fig. 36, the output integral is the grey area
C
between the time line of the actual value and the
start or stop hysteresis of the compressor.
Compressor ON:
The output integral is formed if the flow temperature/
buffer temperature falls below the set flow tempera-
ture/set buffer temperature by 2 K. If the output inte-
gral reaches the threshold of 150 K
·
min, the com-
pressor is switched on.
Compressor OFF:
The output integral is formed if the flow temperature/
buffer temperature exceeds the set flow
temperature/set buffer temperature by 2 K. If the out-
put integral reaches the threshold of 150 K
·
min, the
compressor is switched off.
E
A
t
F
G
C
C
B
D
Fig. 9
A
Start or stop hysteresis of the compressor
B
Compressor OFF
Alternatively or additionally, depending on the sys-
tem components and outside temperature:
Instantaneous heating water heater OFF
External heat generator OFF
C
Output integral threshold 150 K·min
D
Compressor ON
Alternatively or additionally, depending on the sys-
tem components and outside temperature:
Instantaneous heating water heater ON
External heat generator ON
E
Stop hysteresis +2 K
F
Systems with external buffer cylinder:
Set buffer temperature
Systems without external buffer cylinder:
Set flow temperature, heating/cooling circuit 1 or
2
G
Start hysteresis 2 K
Energy saving functions
The energy saving functions can be activated so that
the rooms are not heated unnecessarily when outside
temperatures are mild. The energy saving functions
are not prioritised. If the stop condition of one of the
two energy saving functions is reached, room heating
is switched off. The heating circuit pump is off. The set
flow temperature of the heating/cooling circuit is set to
0 °C.
Note
An active frost protection function overrides the energy
saving functions.
Energy saving function "Heating limit summer
economy mode": A limit temperature (heating limit) is
set for this:
If the adjusted outside temperature exceeds the limit
temperature by 2 K, room heating is switched off.
If the adjusted outside temperature falls 2 K below
the limit temperature, room heating is switched on.
Energy saving function "Outside temperature
economy function": A hysteresis is set for this:
If the adjusted outside temperature exceeds the set
room temperature plus the hysteresis, room heating
is switched off.
If the adjusted outside temperature falls below the
set room temperature plus the hysteresis minus 1 K,
room heating is switched on.
Function description
Heating/cooling (cont.)
6218234
Functions

Table of Contents

Related product manuals