EasyManua.ls Logo

Yamaha PSR-E413 - Using Songs; Types of Songs

Yamaha PSR-E413
128 pages
Print Icon
To Next Page IconTo Next Page
To Next Page IconTo Next Page
To Previous Page IconTo Previous Page
To Previous Page IconTo Previous Page
Loading...
Using Songs
42 PSR-E413 Owner’s Manual
The following three types of songs can be used by the PSR-E413.
Preset Songs (the 30 songs built into the instrument)................Song numbers 001–030.
User Songs (recordings of your own performances) ..................Song numbers 031–035.
External song files (song data transferred from a computer*) ...Song numbers 036–.
* The Accessory CD-ROM includes a selection of 70 MIDI songs. See page 91 for instructions on how to
transfer the songs to the instrument.
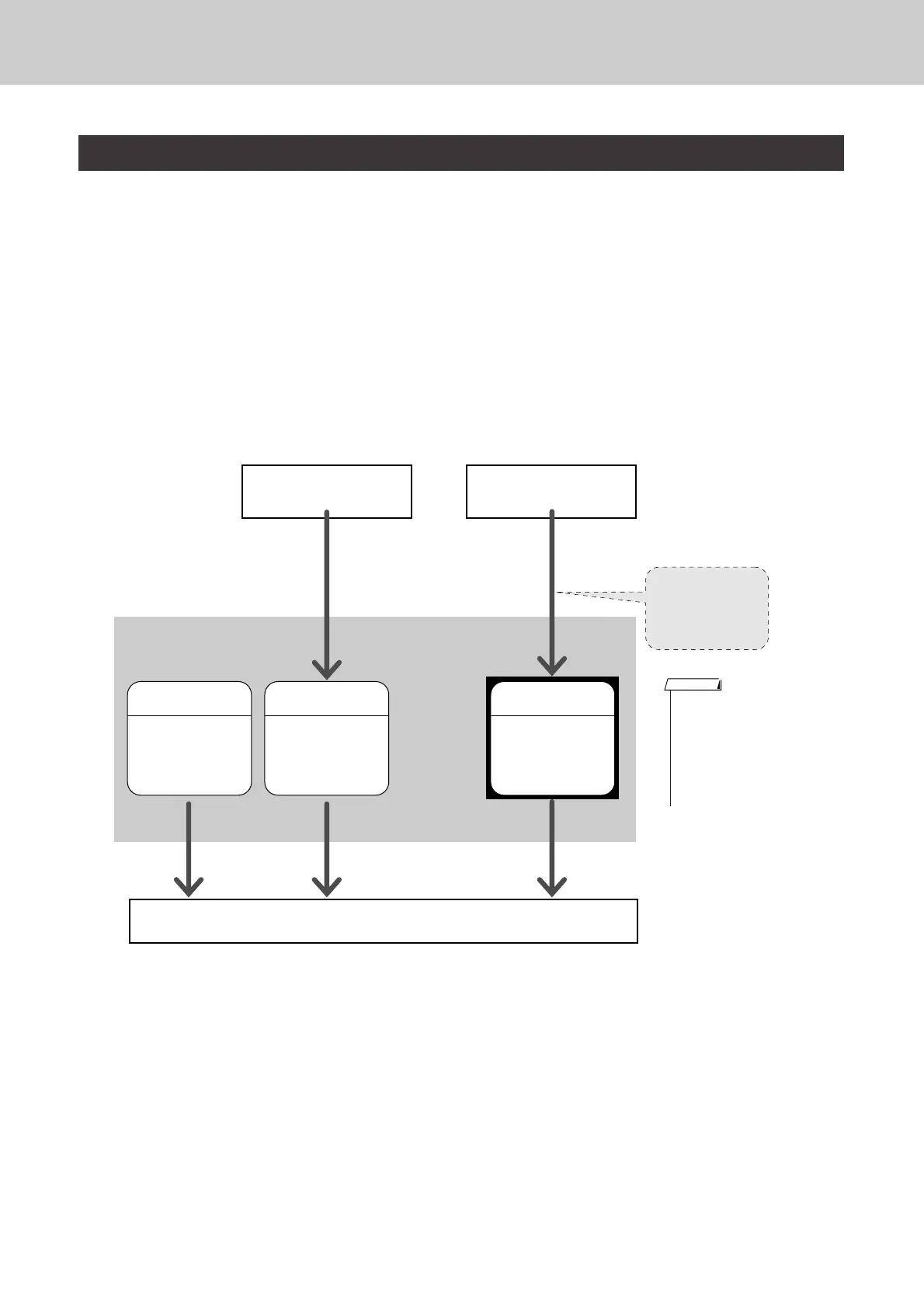
The chart below shows the basic PSR-E413 processes flow for using the preset songs, user songs, and
external song files—from storage to playback.
Types of Songs
Transfer
(page 91)
Record
(page 52)
Your own performance
PSR-E413 Song Storage
locations
Preset Songs
(001–030)
User Songs
(031–035)
Flash Memory
(036–134)
The 30 songs built
into the instru-
ment.
Stored in the inter-
nal flash memory.
Save to internal
flash memory. Cur-
rently available.
Play
External song files
can be saved to flash
memory (036–134).
Different flash memory areas
are used to store user songs
and external song files trans-
ferred from a computer. User
songs cannot be directly trans-
ferred to the external song file
flash memory area, and vice
versa.
NOTE
Computer
External song file

Table of Contents

Other manuals for Yamaha PSR-E413

Related product manuals