EasyManua.ls Logo

ABB ret650 - Blocking; Design

ABB ret650
670 pages
Print Icon
To Next Page IconTo Next Page
To Next Page IconTo Next Page
To Previous Page IconTo Previous Page
To Previous Page IconTo Previous Page
Loading...
The lowest voltage is always used for the inverse time delay integration. The details
of the different inverse time characteristics are shown in section 21.3 "Inverse time
characteristics".
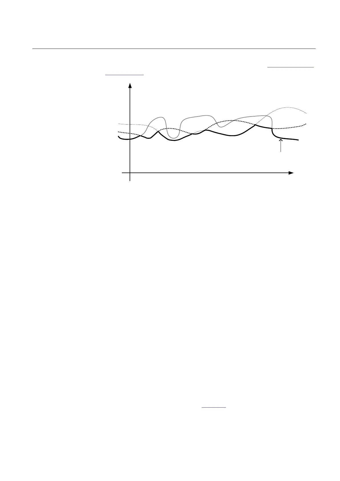
Voltage
IDMT Voltage
Time
UL1
UL2
UL3
IEC12000186-1-en.vsd
IEC12000186 V1 EN
Figure 91: Voltage used for the inverse time characteristic integration
Trip signal issuing requires that the undervoltage condition continues for at least the
user set time delay. This time delay is set by the parameter t1 and t2 for definite time
mode (DT) and by some special voltage level dependent time curves for the inverse
time mode (IDMT). If the start condition, with respect to the measured voltage ceases
during the delay time, the corresponding start output is reset.
9.1.7.3 Blocking
It is possible to block Two step undervoltage protection (UV2PTUV) partially or
completely, by binary input signals or by parameter settings, where:
BLOCK:
blocks all outputs
BLKST1: blocks all start and trip outputs related to step 1
BLKST2: blocks all start and trip outputs related to step 2
9.1.7.4 Design
The voltage measuring elements continuously measure the three phase-to-neutral
voltages or the three phase-to-phase voltages. Recursive fourier filters or true RMS
filters of input voltage signals are used. The voltages are individually compared to the
set value, and the lowest voltage is used for the inverse time characteristic integration.
A special logic is included to achieve the 1 out of 3, 2 out of 3 and 3 out of 3 criteria
to fulfill the START condition. The design of Two step undervoltage protection
UV2PTUV is schematically shown in Figure 92.
1MRK 504 135-UEN A Section 9
Voltage protection
207
Technical manual

Table of Contents

Other manuals for ABB ret650

Related product manuals