EasyManua.ls Logo

ABB ret650 - Operation Counter

ABB ret650
670 pages
Print Icon
To Next Page IconTo Next Page
To Next Page IconTo Next Page
To Previous Page IconTo Previous Page
To Previous Page IconTo Previous Page
Loading...
GUID-3AD25F5A-639A-4941-AA61-E69FA2357AFE V1 EN
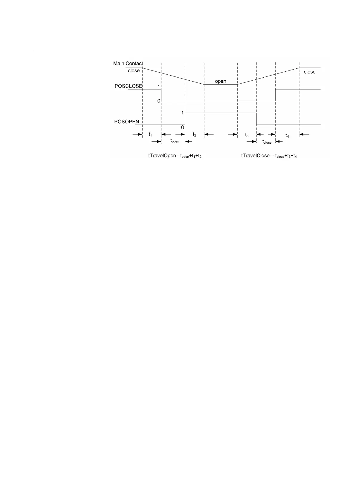
There is a time difference t
1
between the start of the main contact opening and the
opening of the POSCLOSE auxiliary contact. Similarly, there is a time gap t
2
between
the time when the POSOPEN auxiliary contact opens and the main contact is
completely open. Therefore, in order to incorporate the time t
1
+t
2
, a correction factor
needs to be added with t
Open
to get the actual opening time. This factor is added with
the OpenTimeCorr (=t
1
+t
2
). The closing time is calculated by adding the value set
with the CloseTimeCorr (t
3
+t
4
) setting to the measured closing time.
The last measured opening travel time tTravelOpen and the closing travel time
tTravelClose are available through the Monitored data view on the LHMI or
through tools via communications.
Alarm limit check
When the measured open travel time is longer than the value set with the tOpenAlm
setting, the TRVTOAL output is activated. Respectively, when the measured close
travel time is longer than the value set with the tCloseAlm setting, the TRVTCAL
output is activated.
It is also possible to block the TRVTCAL and TRVTOAL alarm signals by activating
the BLOCK input.
14.17.7.4 Operation counter
The operation counter subfunction calculates the number of breaker operation cycles.
Both open and close operations are included in one operation cycle. The operation
counter value is updated after each open operation.
The operation of the subfunction can be described by using a module diagram. All the
modules in the diagram are explained in the next sections.
1MRK 504 135-UEN A Section 14
Monitoring
505
Technical manual

Table of Contents

Other manuals for ABB ret650

Related product manuals