EasyManua.ls Logo

DETEWE OpenCom 130 - Unified Team

DETEWE OpenCom 130
204 pages
Print Icon
To Next Page IconTo Next Page
To Next Page IconTo Next Page
To Previous Page IconTo Previous Page
To Previous Page IconTo Previous Page
Loading...
Team Functions Examples of Use
142
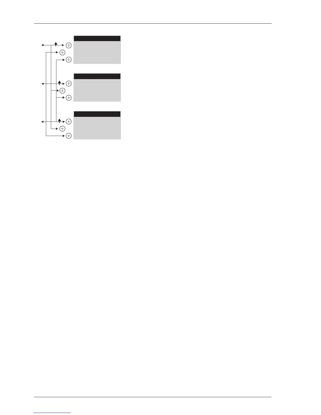
Example: three-member team
Line Seizure
Each team members call number, e.g. call number 10 for Miller, is programmed as
a trunk key on his telephone.
On the other telephones in the team, this call number is programmed as a team
key (e.g. TK 10 on Johnsons and Smith’s telephones). The team members can thus
see which number a call is for and can answer it by pressing the appropriate team
key.
The team members can call each other via the team keys. For example, Miller can
call number 12 by pressing TK 12; the call is then signalled to Smiths telephone on
TrK 12.
Line Busy Indication
If a line is busy, e.g. TrK 11 Johnson, the team keys 11 on Millers and Smiths tele-
phones will indicate this.
Call Signalling
In this example, calls via the trunk keys are signalled acoustically. Calls via the team
keys are indicated by a visual signal (the team key LED flashes).
13.2.3 Unified Team
The unified team described here is an example of a team configuration within a
department in which calls are to be managed quickly (e.g. support department).
10
11
12
Johnson
Trk 11: Johnson
TK 10: Miller
TK 12: Smith
Smith
TrK 12: Smith
TK 10: Miller
TK 11: Johnson
Miller
TrK 10: Miller
TK 11: Johnson
TK 12: Smith

Table of Contents

Related product manuals