EasyManua.ls Logo

Enertech VS Series - Page 28

Enertech VS Series
80 pages
Print Icon
To Next Page IconTo Next Page
To Next Page IconTo Next Page
To Previous Page IconTo Previous Page
To Previous Page IconTo Previous Page
Loading...
28
Enertech Global IOM, VS/VT Models, Rev A
Step 4: Final Pressurization of System
Once all of the air and debris has been removed,
and the antifreeze has been added and mixed, the
system is ready for nal pressurization.
Turn one of the 3-way valves so that it is open
to all 3 ports, the unit, loop, and ush port. Turn
the other valve so it is only open to the loop and
ush port (pressure is also applied to the hose kit
in this arrangement).
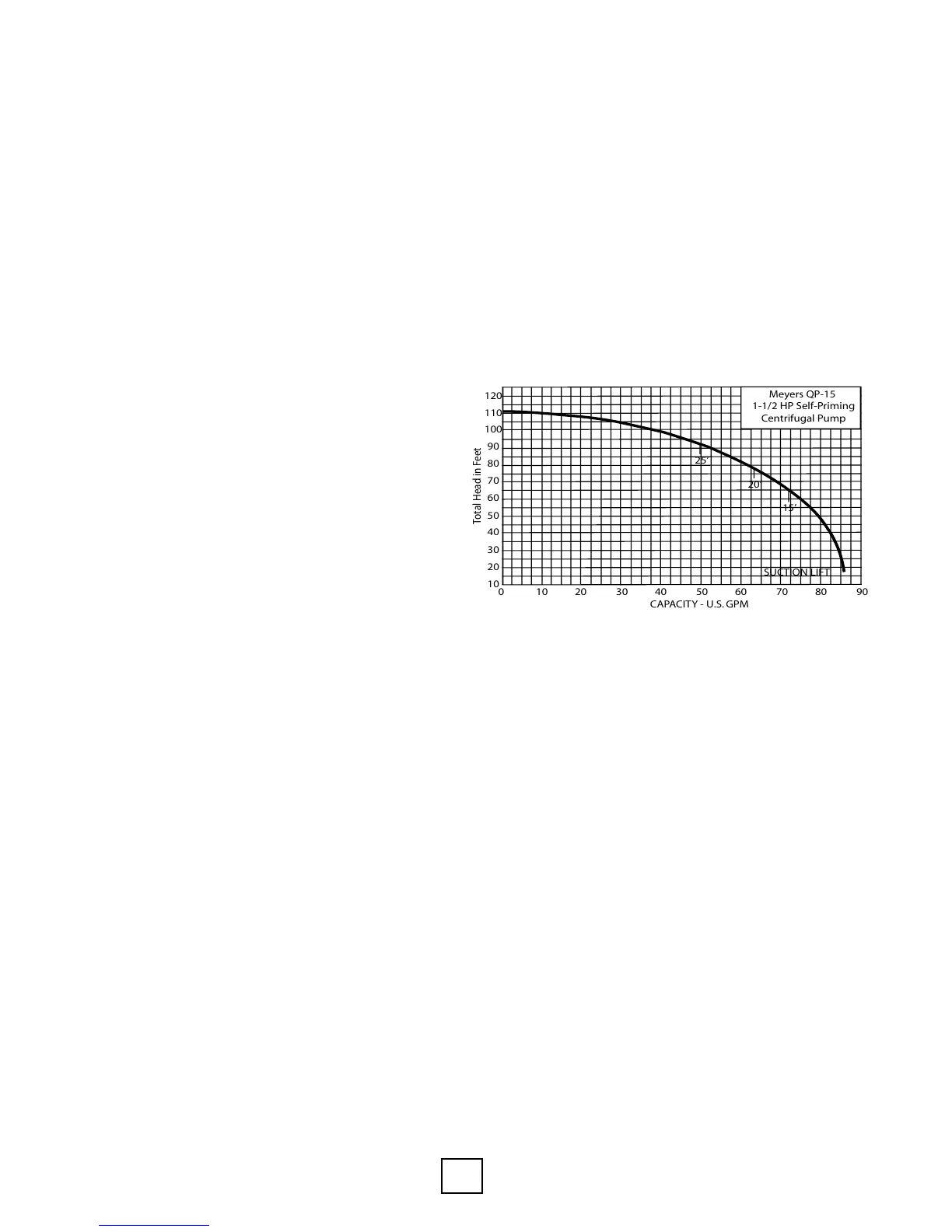
Enertech Manufacturing Flush Cart
Turn the ush cart pump on and allow the system
to start circulating.
With the pump running, turn the return line ball
valve to the off position on the ush cart, “dead
heading” the pump.
There should be a maximum of 1” to 2” inches of
drop in the water level in the reservoir. This only
takes about 3-5 seconds.
Next, turn the supply line ball valve to the off
position on the ush cart (isolates the ow center
from the ush cart).
Now that the system is isolated from the reservoir
the pump can be turned off. Do not open the
main ush cart ball valves yet.
Connect the water supply back to the discharge
line hose connection, and open the ball valve.
Turn on the water supply and leave it on for 20 to
30 minutes. This will stretch the pipe properly to
insure that the system will not have a “at” loop
during cooling operation.
Once the loop is pressured (recommended
pressure on initial start up is 50 to 70 psi), turn
the water supply off. Turn off the discharge line
ball valve, and disconnect the water supply.
Maximum pressure should never exceed 100 psi
under any circumstance!
Turn the 3-way valves on the ow center back
to the normal operation mode, which closes the
ush port connections.
Open the ball valves on the ush cart to relieve
pressure on the hoses. Disconnect the hoses from
the ow center.
Note: Pressurized ow centers and Grundfos UP
series pumps need a minimum of 3psi on the suction
side of the pump to operate. Maximum operating
pressure is 100 psi.
Loop static pressure will uctuate with the seasons.
Pressures will be higher in the winter months than
during the summer months. In the cooling mode
the heat pump is rejecting heat, which relaxes
the pipe. This uctuation is normal and needs to
be considered when charging and pressuring the
system initially. Typical operating pressures of an
earth loop are 15 to 50 psi.
Section 5: Unit Piping Installation
0 10 20 30 40 50 60 70 80 90
CAPACITY - U.S. GPM
120
110
100
90
80
70
60
50
40
30
20
10
Total Head in Feet
SUCTION LIFT
25’
20’
15’
Meyers QP-15
1-1/2 HP Self-Priming
Centrifugal Pump
Figure 7: Flush Cart Pump Curve

Table of Contents

Related product manuals