EasyManua.ls Logo

EXFO MaxTester 700 - Page 322

EXFO MaxTester 700
381 pages
Print Icon
To Next Page IconTo Next Page
To Next Page IconTo Next Page
To Previous Page IconTo Previous Page
To Previous Page IconTo Previous Page
Loading...
Maintenance
310 MAX-700
Verifying Your MAX-700
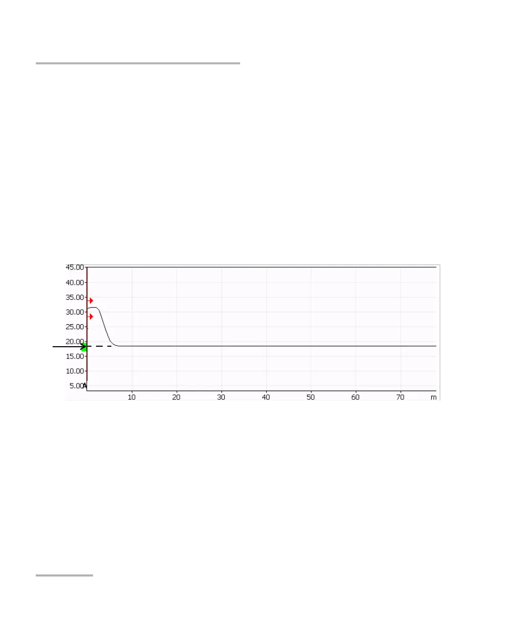
To evaluate the launch level:
1. Connect at least 2 km of fiber to the OTDR port.
Ensure that the OTDR port and connectors are properly cleaned
and that the fiber settings are accurate (IOR, Helix factor and RBS).
Do not use a test jumper between the OTDR and the fiber under
test to limit the number of connectors.
2. Set the distance range to the fiber length used for the evaluation, the
pulse width to the shortest value available, and the acquisition time to
15 seconds.
3. Evaluate the launch level at 0 km by extrapolating the linear region of
the curve.
The launch level should be located within the launch window (light green
rectangle) appearing on the left side of the Y-axis on the graph. If the
launch level is below this window, clean the output connector again, retest
the fiber and change the output connector if necessary. If the situation
persists, you will observe a degradation in dynamic range. Return the
OTDR to EXFO.
Note: This does not affect the precision of distance or loss measurements.

Table of Contents

Related product manuals