EasyManua.ls Logo

EXFO MaxTester 700 - Page 326

EXFO MaxTester 700
381 pages
Print Icon
To Next Page IconTo Next Page
To Next Page IconTo Next Page
To Previous Page IconTo Previous Page
To Previous Page IconTo Previous Page
Loading...
Maintenance
314 MAX-700
Verifying Your MAX-700
2. Set the distance range to 160 km (singlemode fiber), the pulse width to
the longest value available and the acquisition time to 180 seconds.
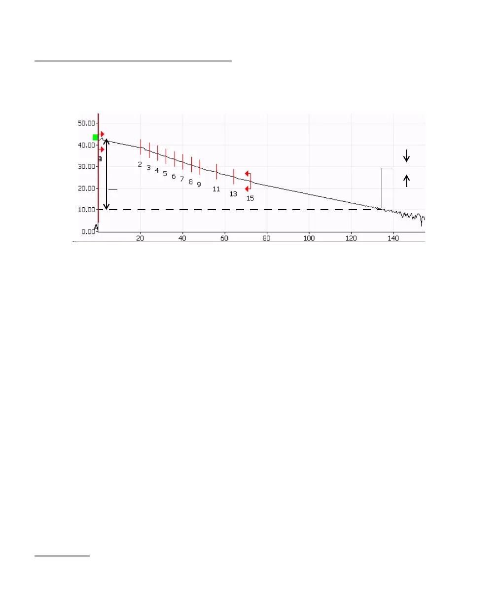
Dynamic range is the difference between the launch level and the position
on the curve where the peak-to-peak noise level is 1 dB, plus a correction
factor relative to the noise amplitude (which is 5.2 dB).
If the result falls below the “minimum permitted specification” (refer to the
calibration certificate that came with your product), you will observe a
degradation of performance. It could be caused by a damaged output
connector. If this is the case, clean the connector. If the problem persists,
change the output connector. If the problem remains even after changing
the output connector, return the OTDR to EXFO.
Note: This does not affect the precision of the distance or loss measurements.
1dB
Dynamic range

Table of Contents

Related product manuals