EasyManua.ls Logo

GE 339 - Page 192

GE 339
342 pages
Print Icon
To Next Page IconTo Next Page
To Next Page IconTo Next Page
To Previous Page IconTo Previous Page
To Previous Page IconTo Previous Page
Loading...
6–58 339 MOTOR PROTECTION SYSTEM – INSTRUCTION MANUAL
S3 PROTECTION CHAPTER 6: SETPOINTS
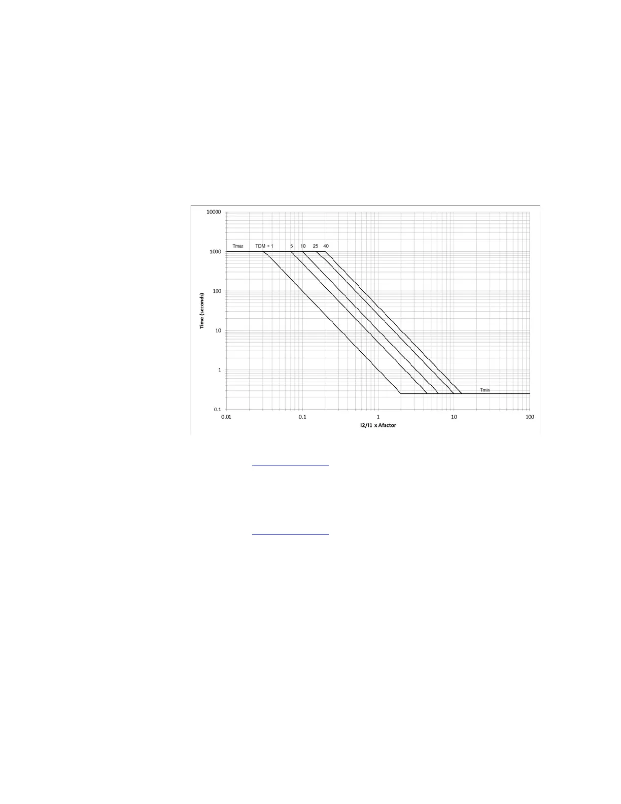
UNBAL TRIP RESET TIME
Range: 1.00 to 1000.00 s in steps of 0.01 s
Default: 1.00 s
This setting defines the linear reset time of the trip element time accumulator. It is the
maximum reset time from the threshold of tripping based on the unbalance inverse
curve. The reset time has accumulator/integrator to represent thermal memory counter
which increments linearly if the unbalance current is above threshold, and decrements
linearly if it is below threshold. "Unbal DPO" operand is set to high when thermal
memory counter resets to zero.
Figure 6-24: Unbalance inverse time curves
OUTPUT RELAY X
For details see Common setpoints
.
To select any assignable output relays to operate upon the Unbalance Alarm operation,
assign the Logic Operand "UNBALANCE ALARM OP" or "Any Alarm OP" to a Logic
Element.
BLOCK 1 to 3
For details see Common setpoints
.

Table of Contents

Related product manuals