EasyManua.ls Logo

GE Multilin 850 - Page 254

GE Multilin 850
616 pages
Print Icon
To Next Page IconTo Next Page
To Next Page IconTo Next Page
To Previous Page IconTo Previous Page
To Previous Page IconTo Previous Page
Loading...
4–122 850 FEEDER PROTECTION SYSTEM – INSTRUCTION MANUAL
PROTECTION CHAPTER 4: SETPOINTS
RESET
Range: Instantaneous, Timed
Default: Instantaneous
Selection of an Instantaneous or a Timed reset time is provided using this setting. If
Instantaneous reset is selected, the Phase TOC element will reset instantaneously
providing the current drops below 97-98% of the Phase TOC PKP level. If Timed reset is
selected, the time to reset is calculated based on the reset equation for the selected
inverse curve.
DIRECTION
Range: Disabled, Forward (Ph Dir OC [1-4] FWD), Reverse (Ph Dir OC [1-4] REV)
Default: Disabled
VOLTAGE RESTRAINT
Range: Disabled, Enabled
Default: Disabled
This setting enables or disables the Voltage Restraint function for the TOC element.
When set to “Enabled” this feature lowers the Pickup value of each individual Phase Time
Overcurrent element in a fixed relationship with its corresponding phase input voltage.
If cold load pickup, autoreclosing, or manual close blocking features are controlling the
protection, the Phase TOC Voltage Restraint does not work, even if “Enabled” is selected.
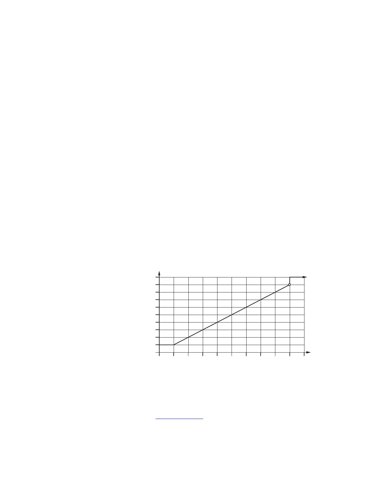
Voltage restraint is used to lower the current pickup level for TOC function in linear
proportion as shown in figure below. For example, if phase TOC PICKUP setting is set to
1.000 XCT, in case of system faults cause generator terminal voltage drops to 0.4 pu
(ratio of Phase-Phase Voltage/ VT Nominal Phase-phase voltage), the new pickup with
voltage restraint would be 1.000*0.4=0.400 xCT. During the fault condition when the
voltage drops, the overcurrent relay pickup also drops linearly and it should be verified
that for the limiting case the new voltage restraint relay pickup should be lower than
(around 50% of) the fault current. Refer IEEE C37.102-2006, Annex-A for more details.
Figure 4-44: Voltage Restraint characteristics for Phase TOC
BLOCK
Range: Off, Any FlexLogic operand
Default: Off
OUTPUT RELAY X
For details see Common Setpoints
.
EVENTS
Range: Enabled, Disabled
Default: Enabled
0.1
0.2
0.3
0.4
0.5
0.6
0.7
0.8
0.9
1.0
0.1 0.2 0.3 0.4 0.5 0.6 0.7 0.8 0.9 1.0
0
892784A1.CDR
Multiplier for Pickup Current
Phase-Phase Voltage ÷ VT Nominal Phase-phase Voltage

Table of Contents

Related product manuals