EasyManua.ls Logo

Global 5120 - Figure 8 V; Figure 9 V

Global 5120
79 pages
Print Icon
To Next Page IconTo Next Page
To Next Page IconTo Next Page
To Previous Page IconTo Previous Page
To Previous Page IconTo Previous Page
Loading...
GlobalPowerTechnologies 2-8
5120
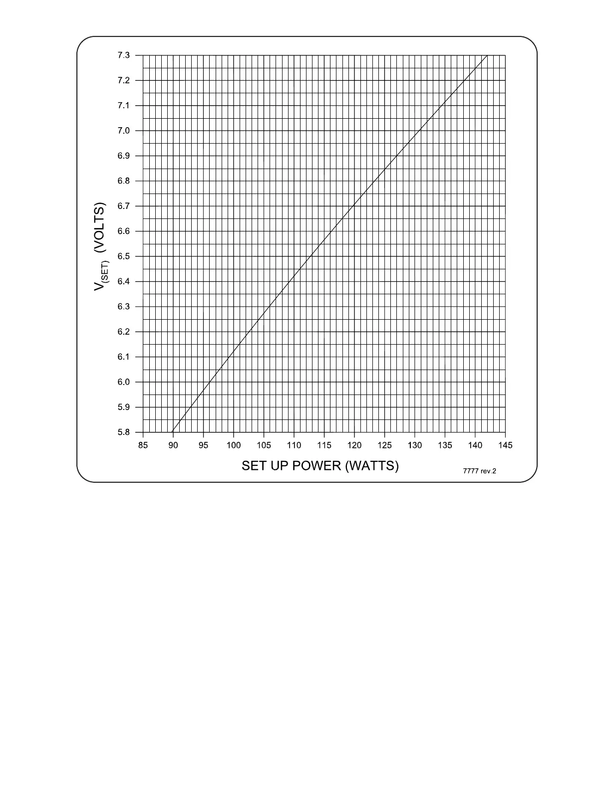
2.6.2 V
set
(Power) Check
Afterignitionhasoccurredthevoltagebetweenterminals2(+)andterminals4(-),thatis,V
set
willbegintoclimbasshownonthegraphinFigure9.
TheV
set
willrisequicklyatrstthenbegintolevelout.ItwilltakeatleastonehourfortheV
set
tostabilize.WhenV
set
nolongerchanges(±0.2Vintenminutes)comparethisvaluewithrated
V
set
asdeterminedinsection2.6.1,theseshouldbewithin0.2Voltsofeachother.
IfthemeasuredV
set
isgreaterthanratedV
set
thenthefuelpressureneedstobereduced.If
themeasuredV
set
islessthanratedV
set
thenproceedasfollows.
2.6.3 Elevation Adjustment
Checkthefuelgaugepressure.Itshouldbeneartothepressureindicatedonthedataplate.If
theTEGislocatedatadi󰀨erentaltitudethanthefactory,(750mor2460ft.)thepressurewill
alsobedi󰀨erent.SeeFigure10.
Figure 8V
set
VsSetUpPower

Table of Contents

Related product manuals