EasyManua.ls Logo

hager h3+ - Page 65

hager h3+
127 pages
Print Icon
To Next Page IconTo Next Page
To Next Page IconTo Next Page
To Previous Page IconTo Previous Page
To Previous Page IconTo Previous Page
Loading...
656LE005550A
Function of the Energy trip unit
3.4 Managing alarms and logs
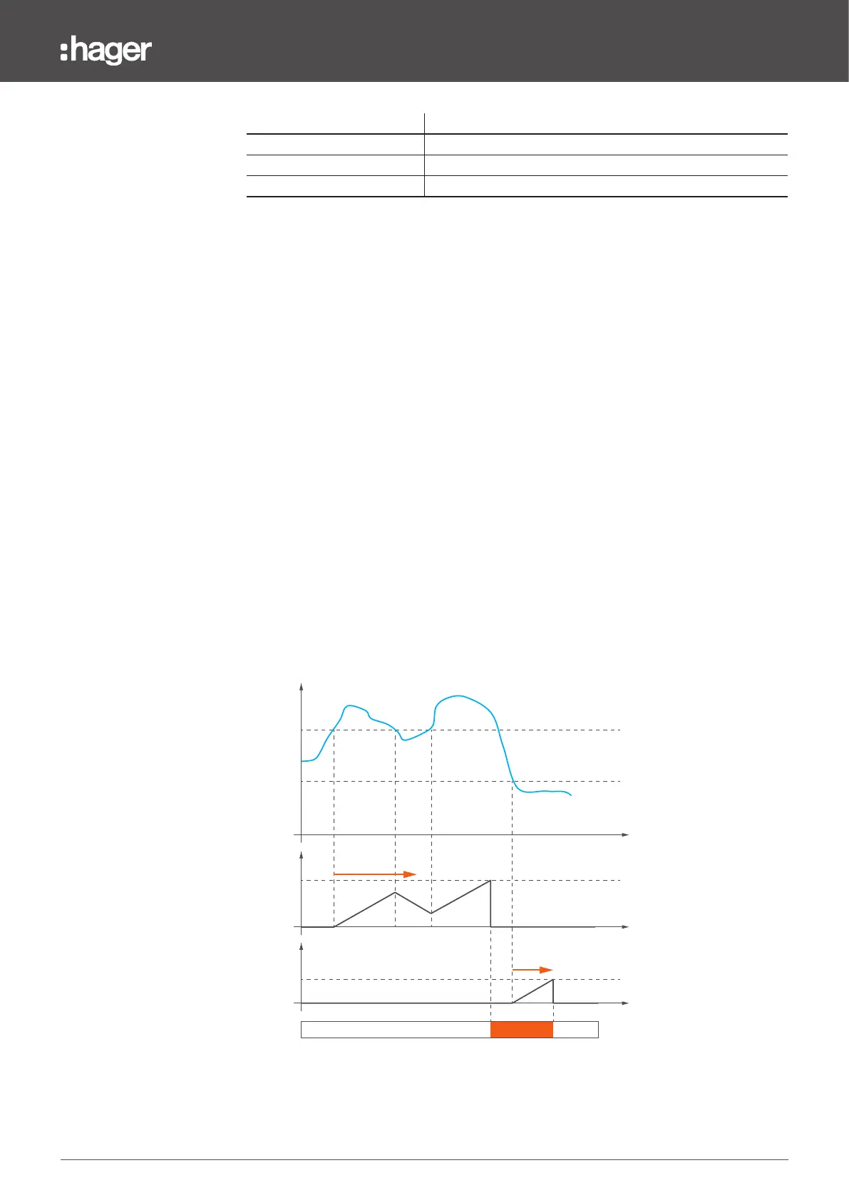
Symbol Meaning
S1 Activation value
T1 Activation time delay
T2 Deactivation time delay
Managing time delays
The time delays of customisable alarms are managed by 2 counters which are
normally at 0
For the activation time delay, the counter:
- Is increased when the activation condition is met
- Is decreased if the activation condition is not met and if the
time delay is not reached
- Is reset when the time delay is reached
For the deactivation time delay, the counter:
- Is increased when the deactivation condition is met
- Is decreased if the deactivation condition is no longer met and if the
time delay is not reached
- Is reset when the time delay is reached
When the activation time delay is reached, the alarm is activated.
When an alarm is reconfigured, the counters are also reset.
Example:
In this example, the alarm is set to a positive breach of the activation threshold
of 280 V when measuring the voltage V1N. The activation time delay is set at
4 seconds. The deactivation threshold is set at 250 V and the deactivation time
delay at 2 seconds.
S1: 280 V
S2: 250 V
T1: 4 s
T1 = 4 s
T2 = 2 s
T2: 2 s
t
t
t
ONOFF OFF
Customisable alarms: Time delays

Table of Contents

Related product manuals