EasyManua.ls Logo

Infineon Technologies TLE5012B - Figure 5-20 HS Hysteresis

Infineon Technologies TLE5012B
105 pages
Print Icon
To Next Page IconTo Next Page
To Next Page IconTo Next Page
To Previous Page IconTo Previous Page
To Previous Page IconTo Previous Page
Loading...
TLE5012B
Interfaces
User’s Manual 58 Rev. 1.2, 2018-02
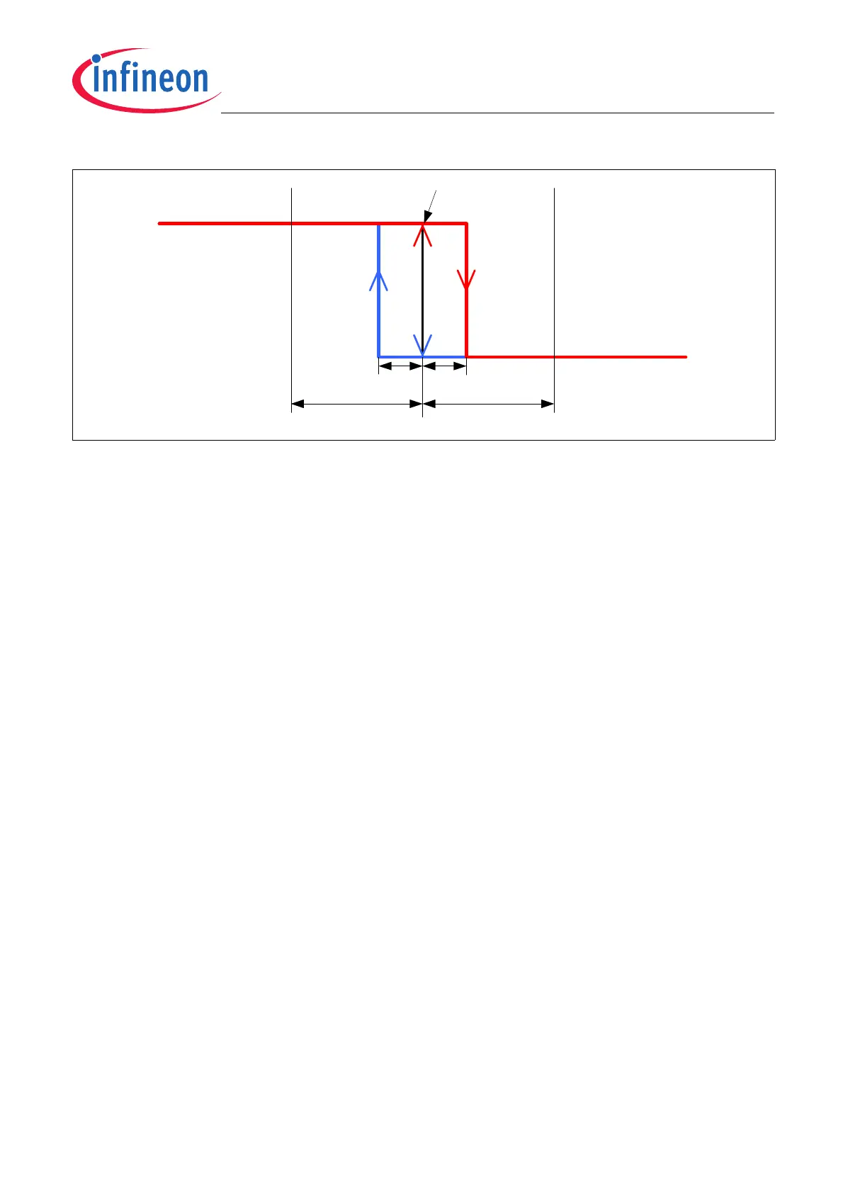
Figure 5-20 HS hysteresis
Ideal Switching Point
elect
HShystel
HShystel
elect

Table of Contents