EasyManua.ls Logo

Panasonic TH-37PG9W - 1 Applicable Signals

Panasonic TH-37PG9W
178 pages
Print Icon
To Next Page IconTo Next Page
To Next Page IconTo Next Page
To Previous Page IconTo Previous Page
To Previous Page IconTo Previous Page
Loading...
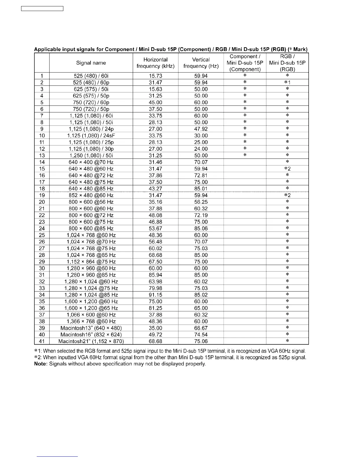
1 Applicable signals
4
TH-37PG9W / TH-42PG9W

Table of Contents

Related product manuals