EasyManua.ls Logo

Planar UltraRes - Using Discrete IR Codes; IR Command Protocol

Planar UltraRes
152 pages
Print Icon
To Next Page IconTo Next Page
To Next Page IconTo Next Page
To Previous Page IconTo Previous Page
To Previous Page IconTo Previous Page
Loading...
Using Discrete IR Codes
Planar UltraRes User Manual 112
Using Discrete IR Codes
The UltraRes display accepts commands in the form of IR signals that conform to the
NEC protocol. Each UltraRes remote control has an NEC control code associated with
it. You can use these codes to program a third-party universal” remote control to
work with the UltraRes. These third-party products usually come with a computer
software application for this purpose. For more information, consult the
documentation provided with the remote control.
IR Command Protocol
The IR control codes have the following characteristics:
Each code consists of the following:
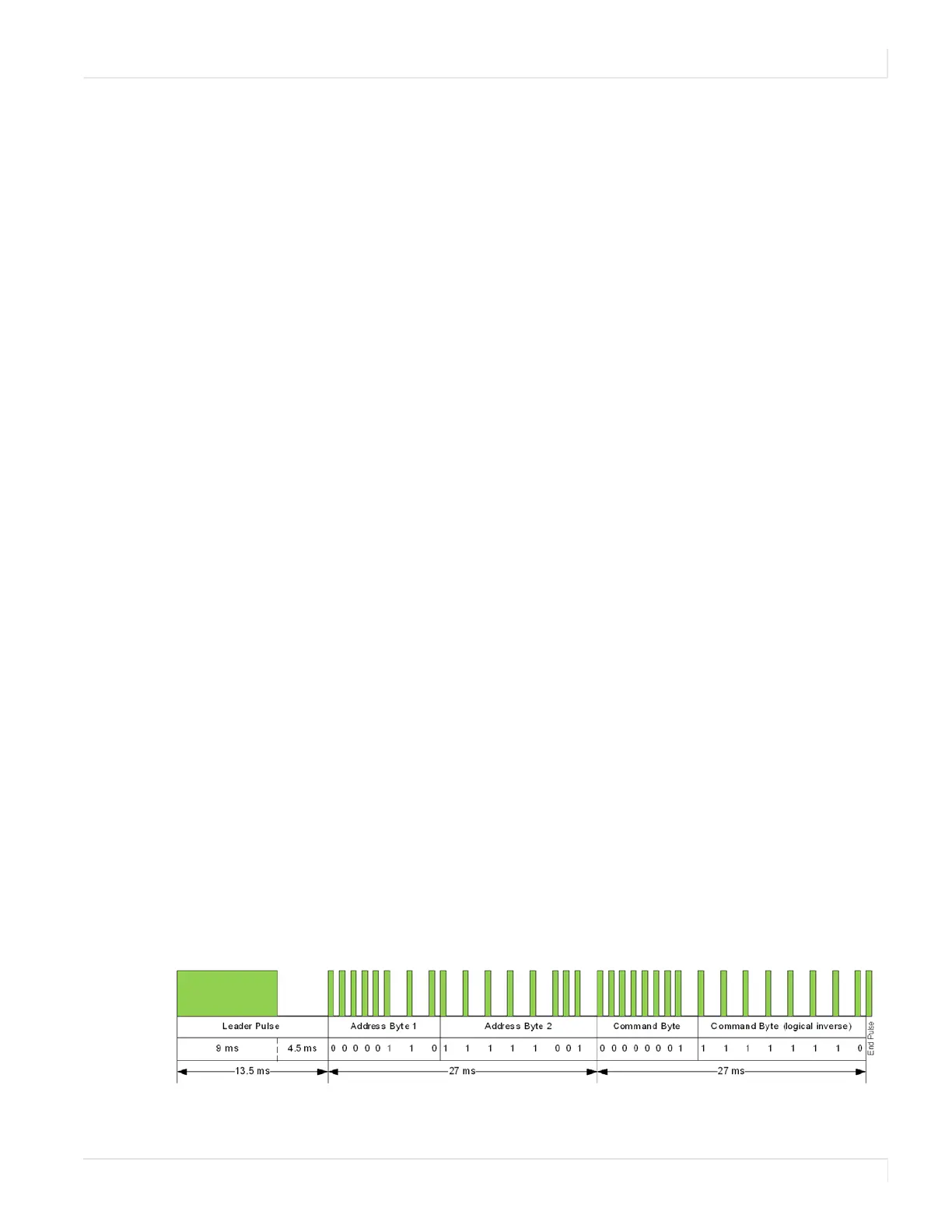
A leader pulse (a modulated pulse of 9 ms followed by a non-modulated
pulse of 4.5 ms)
16 address bits. The default address is 1785 (0x06F9, binary 00000110
11111001)
16 data bits: eight (8) bits for the command followed by the logical inverse
of the command
An end pulse (a modulated pulse of 0.56 ms, similar to the modulated
pulse in the ‘0’ and ‘1’ bits). The end of the modulated pulse constitutes the
end of the data transmission.
The carrier frequency is 38 kHz, with the modulated pulses having a 33% duty
cycle.
Commands are sent at a maximum rate of 9 Hz.
For example, below is the NEC control code for the ON button of the UltraRes remote
control (assuming the default address is used).
The following example shows the pulse train for this command.
Hex 06 F9 01 FE
Binary
00000110 11111001 00000001 11111110
Function Address Byte 1 Address Byte 2 Command
Command (Logical
Inverse)

Table of Contents

Other manuals for Planar UltraRes

Related product manuals