EasyManua.ls Logo

Smitec 3010FA - Heat Dissipation

Default Icon
74 pages
Print Icon
To Next Page IconTo Next Page
To Next Page IconTo Next Page
To Previous Page IconTo Previous Page
To Previous Page IconTo Previous Page
Loading...
Servodrives / inverters series COSMOS 301X Installation, use and maintenance manual - EN
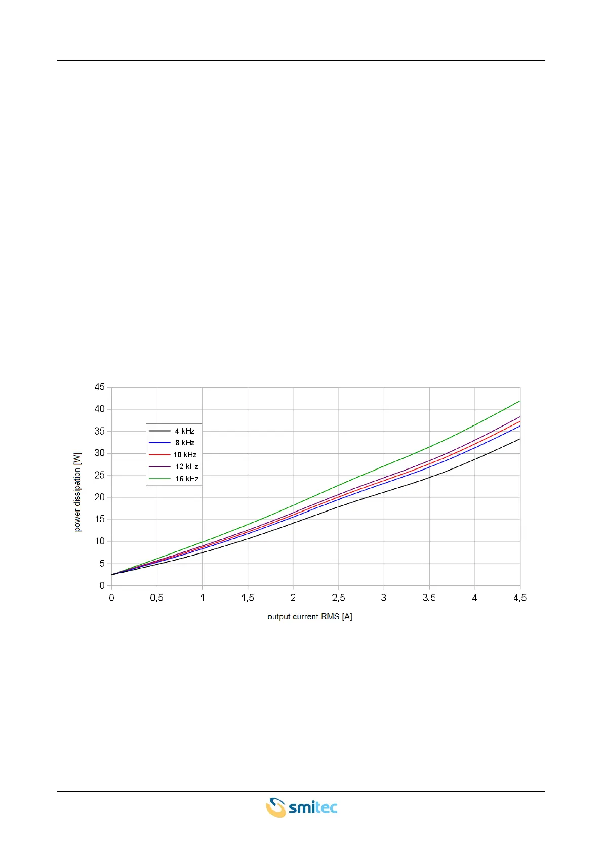
4.6 Heat dissipation
During operation, a servo-drive/inverter dissipates a certain quantity of electric power, due to the imperfect
nature of electronic components. As a consequence, the components temperature increases, especially for
the power section components. This increase must be taken into consideration in order to correctly
determine the capacity of the electrical panel cooling system.
The amount of dissipated power depends on the supplied output current and on the switching frequency of
the PWM signals. The below diagram, valid for all releases, shows the total thermal dissipation, depending
on the rated output current; the four curves represent different switching frequencies. Please consider that:
In case of variable output current, the average dissipated power must not be calculated from the
average current only, but also by including instantaneous power dissipation.
Power dissipation mostly depends on the drive switching frequency.
The dissipated power from the braking resistors must be calculated separately.
Power dissipation scarcely depends on the power factor of the load, but mostly on the absolute value of
the output current; this is to say that the dissipated power is not strictly linked to the active power
supplied to the load.
Ver. 1.09 SMITECdd 20/74

Table of Contents

Related product manuals