EasyManua.ls Logo

Stihl MS 240 - Rewind Starter Service for STIHL MS 240, 260; Rewind Starter: General Information

Stihl MS 240
122 pages
Print Icon
To Next Page IconTo Next Page
To Next Page IconTo Next Page
To Previous Page IconTo Previous Page
To Previous Page IconTo Previous Page
Loading...
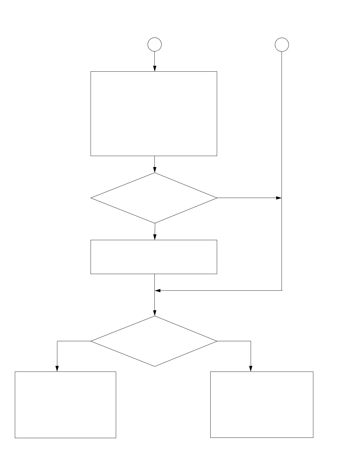
63MS 240, MS 260, MS 260 C
Machine runs trouble-free,
no further action necessary
no
Install new
ignition module,
b 9.2.1
yes
no
– Look for fault in fuel system or
carburetor
– Check engine for leaks
– Check position of flywheel on
crankshaft,
b 8.2, b 9.5
yes
Check operation
of switch shaft:
– Short circuit wire chafed?
– Function between contact spring and switch
shaft contact:
– Position "F" = no connection
– Position "
0" = connection
– Install new short circuit wire if necessary,
b 9.6.2
2
3
Powerful
spark?
Engine
runs

Table of Contents