EasyManua.ls Logo

THORLABS CC6000 - Page 63

THORLABS CC6000
74 pages
Print Icon
To Next Page IconTo Next Page
To Next Page IconTo Next Page
To Previous Page IconTo Previous Page
To Previous Page IconTo Previous Page
Loading...
Portable Connector End Face Geometry Interferometer Chapter 12: Appendix
Rev B, April 16, 2019 Page 60
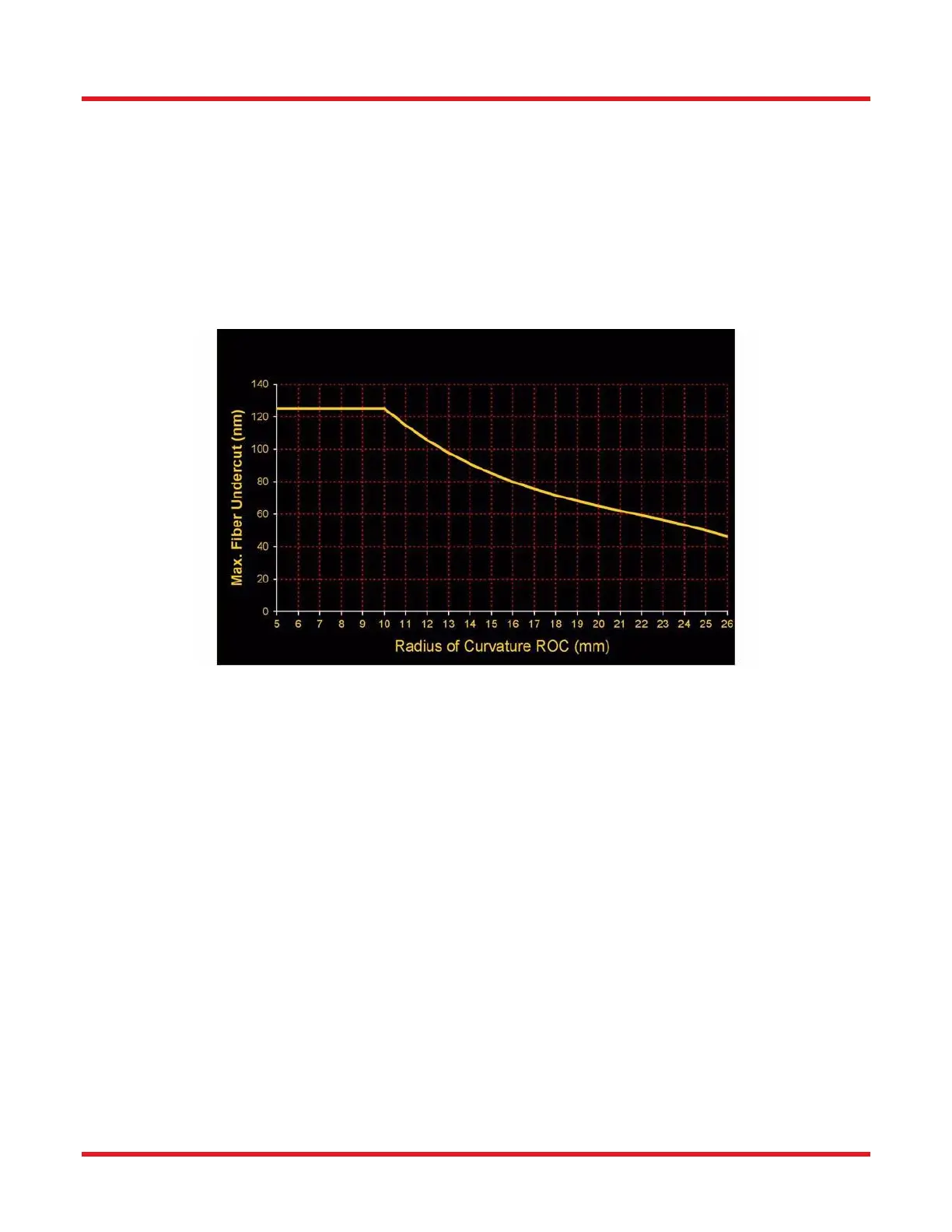
3. Fiber Height (nm) yes Displays the amount of undercut or protrusion of the fiber in the connector. The
CC6000 software determines the Spherical Fiber Height, which is defined as the difference in the height
between the center of the fiber and the theoretical height in the center based on the ferrule. This is the
method recommended in the TIA and IEC test procedures.
The TIA use a sliding scale for the amount of undercut recommended as a function of the Radius of
Curvature. The formula below shows this relationship.
Sign Convention for Fiber Height:
o + = Protrusion
o - = Undercut
󰇛󰇜 
󰇛
 
󰇜
  
Where is Fiber Undercut and  is Radius of Curvature

Table of Contents

Related product manuals