EasyManua.ls Logo

Waters 996 - Spectra with a Large Spectral Contrast Angle

Waters 996
76 pages
Print Icon
To Next Page IconTo Next Page
To Next Page IconTo Next Page
To Previous Page IconTo Previous Page
To Previous Page IconTo Previous Page
Loading...
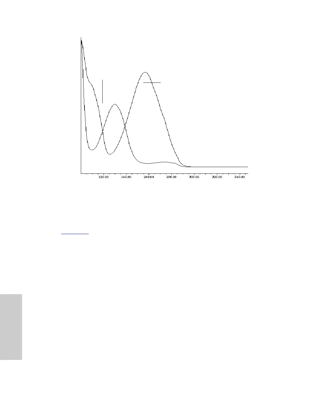
58 Spectral Contrast Theory
5
Figure 5-3 Spectra with a Large Spectral Contrast Angle
Spectra with Similar Shapes
In Figure 5-4, the absorbance spectra of two compounds, A and B, are similar, and
therefore, have a small Spectral Contrast angle (3.0°).
Normalized Absorbance
Wavelength (nm)
Compound A
Compound B
Spectral Contrast Angle: 62.3°

Table of Contents

Related product manuals