EasyManua.ls Logo

Waters 996 - Spectra with a Small Spectral Contrast Angle

Waters 996
76 pages
Print Icon
To Next Page IconTo Next Page
To Next Page IconTo Next Page
To Previous Page IconTo Previous Page
To Previous Page IconTo Previous Page
Loading...
Spectral Contrast Angles 59
5
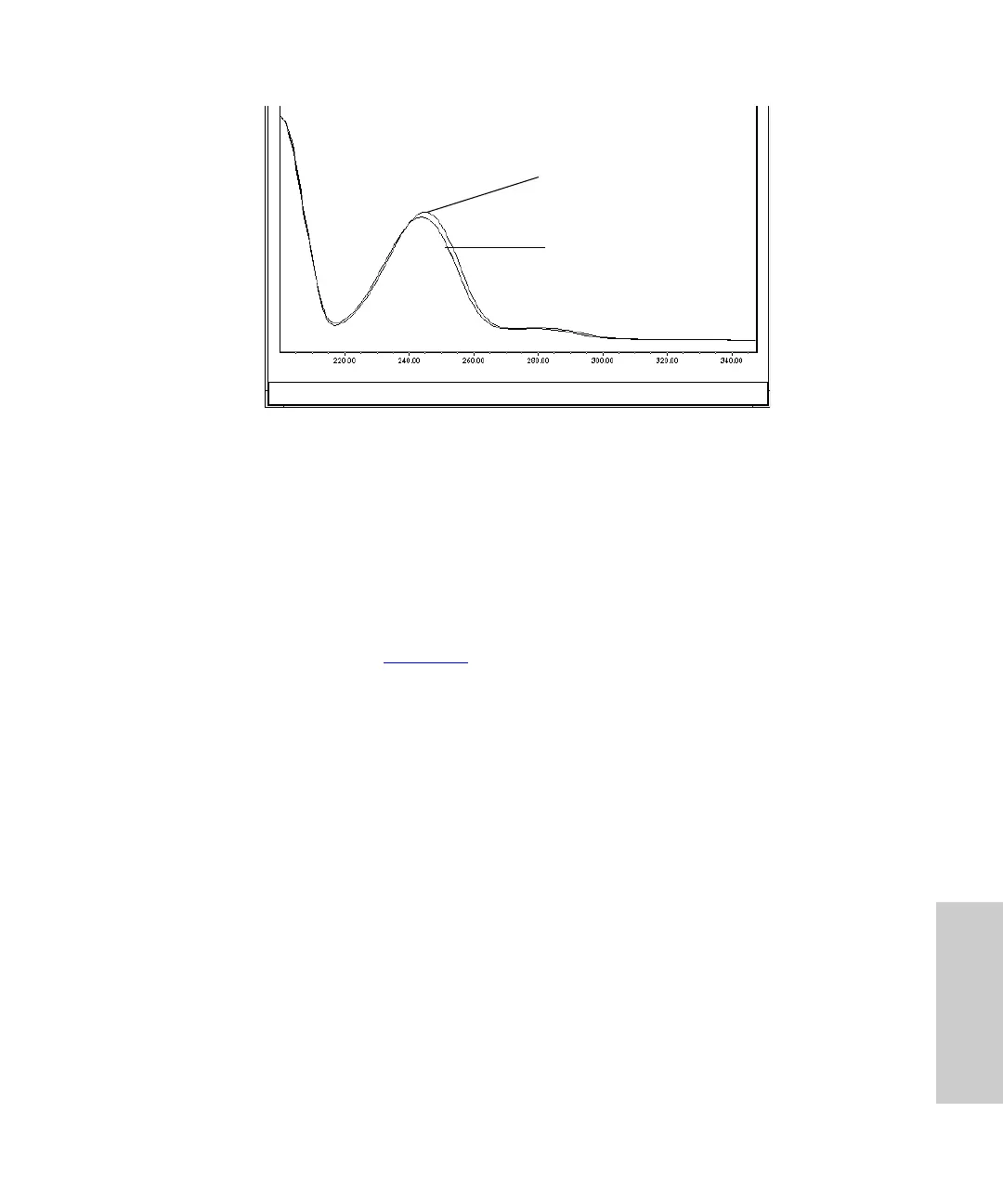
Figure 5-4 Spectra with a Small Spectral Contrast Angle
Differences Between Spectra of the Same Compound
Small but significant differences between absorbance spectra can occur because of
factors other than those due to the absorbance properties of different compounds. For
example, multiple spectra of the
same
compound may exhibit slight differences because
of detector noise, photometric error, high sample concentration, or variations in solvent
conditions. The spectra in Figure 5-5
, for example, show how instrument noise can affect
the shape of an absorbance spectrum of one compound. This effect is most likely to occur
at low concentrations where the signal-to-noise ratio is low. Note that the Spectral Contrast
angle between these absorbance spectra of the same compound is 3.4°.
Normalized Absorbance
Wavelength (nm)
Compound A
Compound B
Spectral Contrast Angle: 3.0
°

Table of Contents

Related product manuals