EasyManua.ls Logo

Ampcontrol IPM V2 - 6.2 Insulation Test

Ampcontrol IPM V2
83 pages
Print Icon
To Next Page IconTo Next Page
To Next Page IconTo Next Page
To Previous Page IconTo Previous Page
To Previous Page IconTo Previous Page
Loading...
Ampcontrol Pty Ltd ABN 28 000 915 542
IPM V2 USER MANUAL
IPM2B003 Revision 15 MAY/18
Uncontrolled Copy - Refer to Ampcontrol Website for Latest Version
Page 31 of 83
APPROVED FOR EXTERNAL DISTRIBUTION PROPERTY OF AMPCONTROL PTY LTD NOT TO BE REPRODUCED IN PART
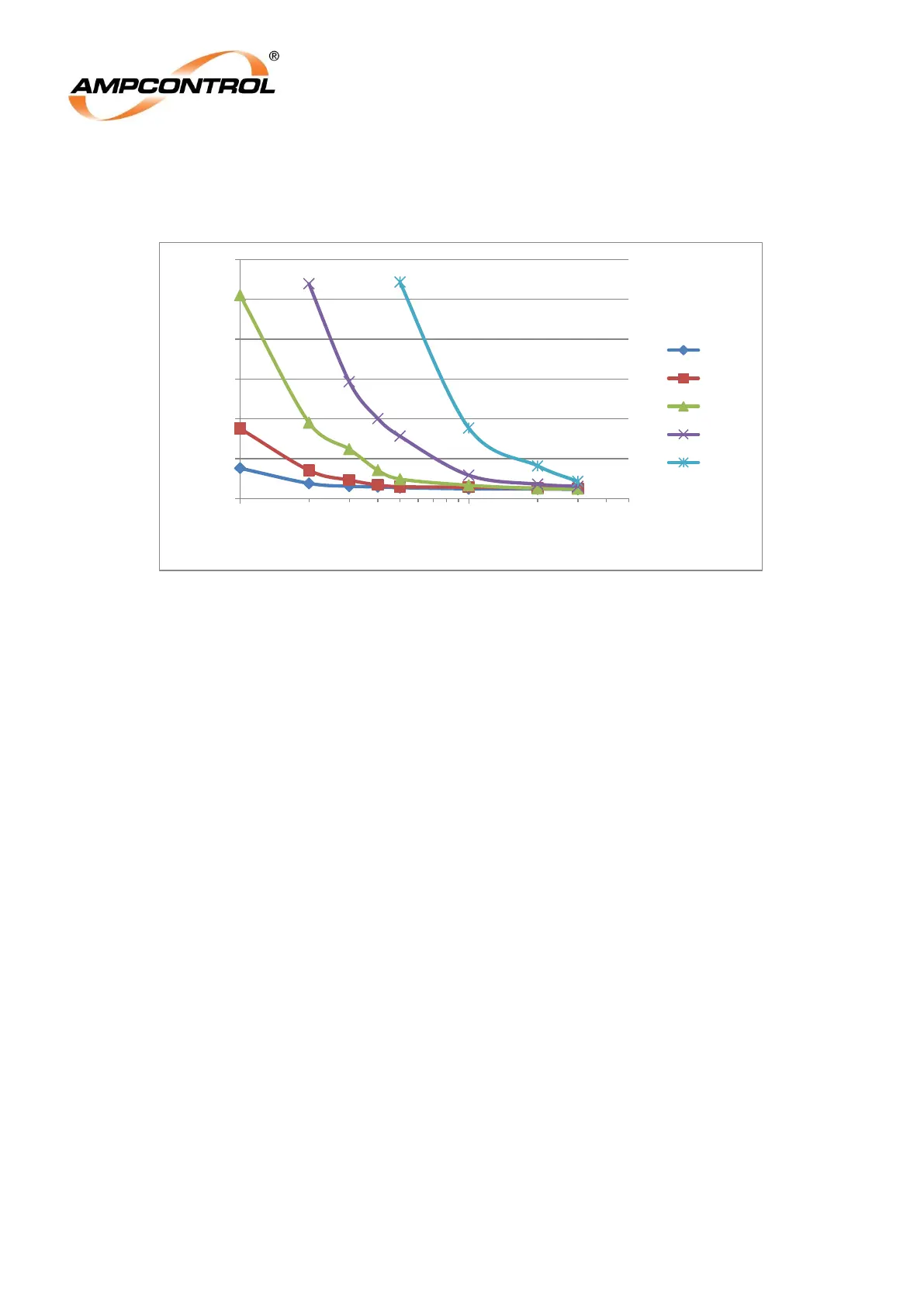
the relay.
Figure 6.2 summarises the trip times which can be expected when the trip time is set to be
„Instantaneous‟, for increasing fault currents at different trip levels.
Figure 6.2: Instantaneous trip times for a selection of device trip level settings
6.1.2 Earth Leakage Protection Function
The earth leakage protection function uses a 1000:1 core balance toroid to measure the earth fault
current. A Residual Current Device (RCD) operating characteristic is provided with adjustable trip
sensitivity and time delay.
The % leakage current is displayed on the 'Current and Voltage Information‟ page (Level 2, Screen 2)
as „Ie‟ shown as a % of the selected trip level. When the leakage reaches 100% a trip occurs. For
timing of the trip refer to APPENDIX 1: IPM Earth Leakage Tripping Curves. As discussed above, the
higher the fault current measured the faster the trip response.
To reset the relay depends on the RCD Reset Lock setting (in group 1 settings page 8). If off, the user
can reset the relay by operating the reset key/digital input. If the setting is on, the user is required to
activate the lock input before operating the reset key/digital input.
The trip level is selected via the „RCD Trp. Level‟ setting (Level 6, Screen 13) and is adjustable
between 25mA and 500mA and off.
The time delay is selected via the „RCD Trp. Time‟ setting (Level 6, Screen 14). Settings are
instantaneous and adjustable between 50ms and 150ms.
6.2 Insulation Test
The IPM Relay can provide an automatic High Voltage „Insulation Test‟. A manual „Insulation Test‟ is
also provided.
An Insulation Test Module (ITM), which is a resistive isolation device, is used to interface the power
conductors to the IPM Relay. Modules are selected in the Group 1 Settings „ITM Module‟ (Level 5,
Screen 2) for rated line voltages of 415V and 1000V.
The ITM is the preferred isolation module and must be used when the „Insulation Test‟ function is
required.
When “None” is selected the IPM Relay does not provide „Insulation Test‟, or voltage functions.
0
50
100
150
200
250
300
100 1000
Trip Time (ms)
Fault Current (mA)
25mA
50mA
100mA
200mA
500mA

Table of Contents

Related product manuals