EasyManua.ls Logo

Canon imageCLASS MF4880dw - Toner Cartridge; Operation When Toner Level Is Low;Nearly out; Specification of Toner Level Display; Toner Level Detection

Canon imageCLASS MF4880dw
511 pages
Print Icon
To Next Page IconTo Next Page
To Next Page IconTo Next Page
To Previous Page IconTo Previous Page
To Previous Page IconTo Previous Page
Loading...
2
2
2-20
2-20
Technical Overview > Image Formation System > Toner Cartridge > Operation when toner level is Low/Nearly Out
Technical Overview > Image Formation System > Toner Cartridge > Operation when toner level is Low/Nearly Out
Toner Cartridge
Toner Level Detection
MF4890dw/MF4880dw/MF4870dn/MF4780w/MF4770n/MF4750/
L418S/L410/L190
Toner level is detected by the Toner Sensor (Magnetic Sensor). When a Toner Cartridge is
installed, the Toner Sensor contacts with the lower side of the cartridge and it converts the
magnetic changes in the cartridge into voltage.
Then, CPU of engine controller PCB compares the output voltage of the T
oner Sensor with
the reference value to detect the toner level.
Toner level detection is performed at startup of the Main Motor.
The toner level detection sequence starts after the Main Motor is started up and stabilization
time (200msec) has passed. The toner level detection sequence continues until the Main
Motor stops. There are following 2 types of toner level detection sequence: sequence at
warm-up rotation when opening door or turning ON the power, and sequence at normal
rotation.
1)Sequence at normal rotation
From the start of detection, detection value of magnetic toner is sampled for every 5 msec.
Remaining toner level is judged based on the average value and ripple value (V Peak to
Peak) of the Magnetic Sensor output while the Stirring Stick makes a full turn.
Time the Stirring Stick makes a full turn and number of samples
In case the process speed is 150mm/sec, time is 1.9 sec (380 samples).
In case the process speed is 75mm/sec, time is 3.8 sec (760 samples).
2)Sequence at warm-up rotation
Conditions of sampling and remaining toner level judgment are the same as those
mentioned above.
However, in the case that toner Low is detected even at once during warm-up rotation
sequence, toner Low is remained to be displayed.
MF4830d/MF4820d/D530/MF4730/MF4720w/MF4712/MF4710
This equipment has no function of toner level detection.
Specication of Toner level display
Toner level can be checked by pressing Status Monitor/Cancel key and selecting toner level.
Display patterns are as follows: OK, Low, and Nearly Out. See the table below for the display
pattern.
1)OK: Toner level** status is 10% or higher and 100% or less, or toner level unidentied**
status
2)Low: Toner level** status is 5% or higher and less than 10%.
3)Nearly Out: Toner level** status is less than 5%.
* Toner level unidentied: Status until the engine determines the toner level.
** Toner level: Reference value (%) (which varies depending on the stirring condition of toner)
is displayed.
As for the toner stop processing according to job types, follow the list of stop processing
according to toner level.
In the following cases, status of toner level is considered as unidentied, and OK (100%) is
displayed on the panel.
After power-on
Right after recovery from engine sleep mode
During opening/closing the door
When the cartridge is not installed
Operation when toner level is Low/Nearly Out
Operation when toner level is Low or Nearly Out is as follows. If another job which can be
processed is introduced while there is a job which is stopped due to "Nearly Out", the job is
output by overtaking the preceding job.
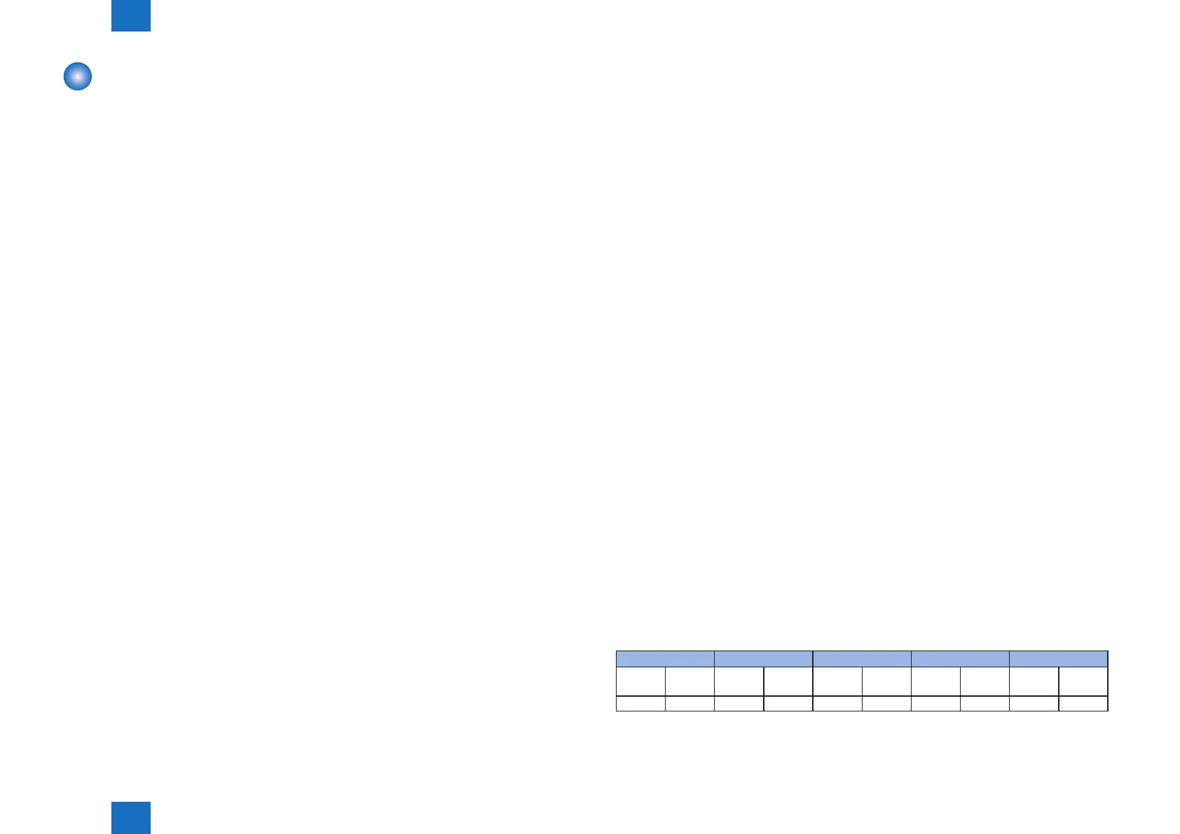
List of stop processing according to toner level
Copy PDL Receive print Manual report Auto report
Low
Nearly
Out
Low
Nearly
Out
Low
Nearly
Out
Low
Nearly
Out
Low
Nearly
Out
- -
○: Continues
-: Page output is stopped immediately after detection, but it can be continued by user mode.
T-2-4

Table of Contents

Other manuals for Canon imageCLASS MF4880dw

Related product manuals