EasyManua.ls Logo

Chloride ACTIVE 700 - Usable Battery Lifetime GB

Default Icon
60 pages
Print Icon
To Next Page IconTo Next Page
To Next Page IconTo Next Page
To Previous Page IconTo Previous Page
To Previous Page IconTo Previous Page
Loading...
CHLORIDE ACTIVE Technical data
945040.066 V02OCT/01 GB - 45
G
B
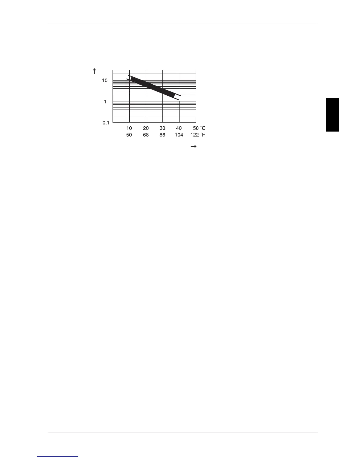
Usable Battery lifetime
Fig. 19: Usable battery lifetime
The diagram shows the typical usable lifetimes of the batteries used in the
UPS devices (only as a function of the ambient temperature of the devices).
In addition, the usable lifetime is also dependent on the cyclical use of the
batteries, i.e. the frequency and duration of mains failures also reduces the
usable lifetimes of the batteries.
Ambient temperature
Usable lifetime / years

Table of Contents

Related product manuals