EasyManua.ls Logo

Compal JHL90 - 7. CRT Troubleshooting

Compal JHL90
176 pages
Print Icon
To Next Page IconTo Next Page
To Next Page IconTo Next Page
To Previous Page IconTo Previous Page
To Previous Page IconTo Previous Page
Loading...
JHL90 Service Manual
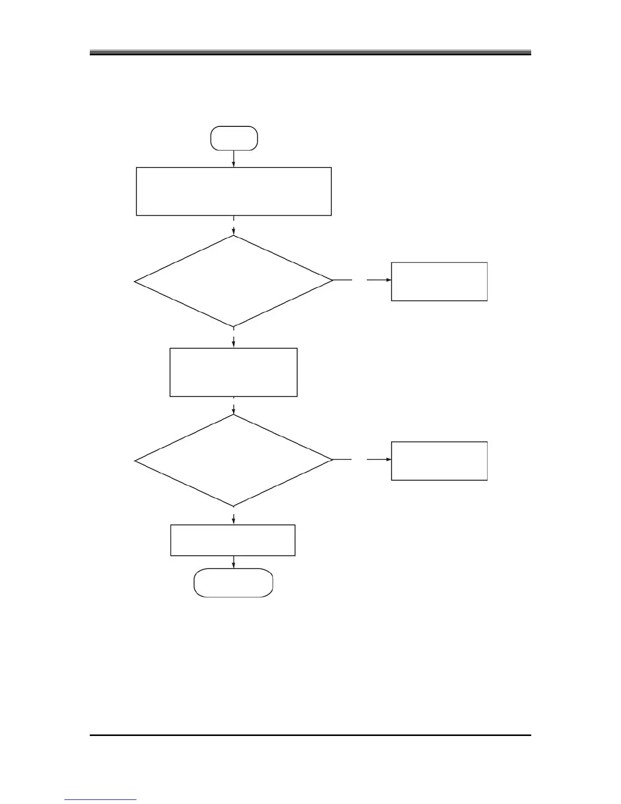
7. CRT troubleshooting
START
Perform CRT connection check
(Procedure 1)
Does replace CRT cable
function property?
Replace CRT
cable
Perform CRT set check
(Procedure 2)
CRT functioning
OK?
Use different
CRT set
Replace system board
END
Yes
Yes
Yes
Yes
No
No
Figure 6-6 CRT troubleshooting process
6-17

Table of Contents

Related product manuals