EasyManua.ls Logo

Compal JHL90 - 8. HDMI Troubleshooting

Compal JHL90
176 pages
Print Icon
To Next Page IconTo Next Page
To Next Page IconTo Next Page
To Previous Page IconTo Previous Page
To Previous Page IconTo Previous Page
Loading...
JHL90 Service Manual
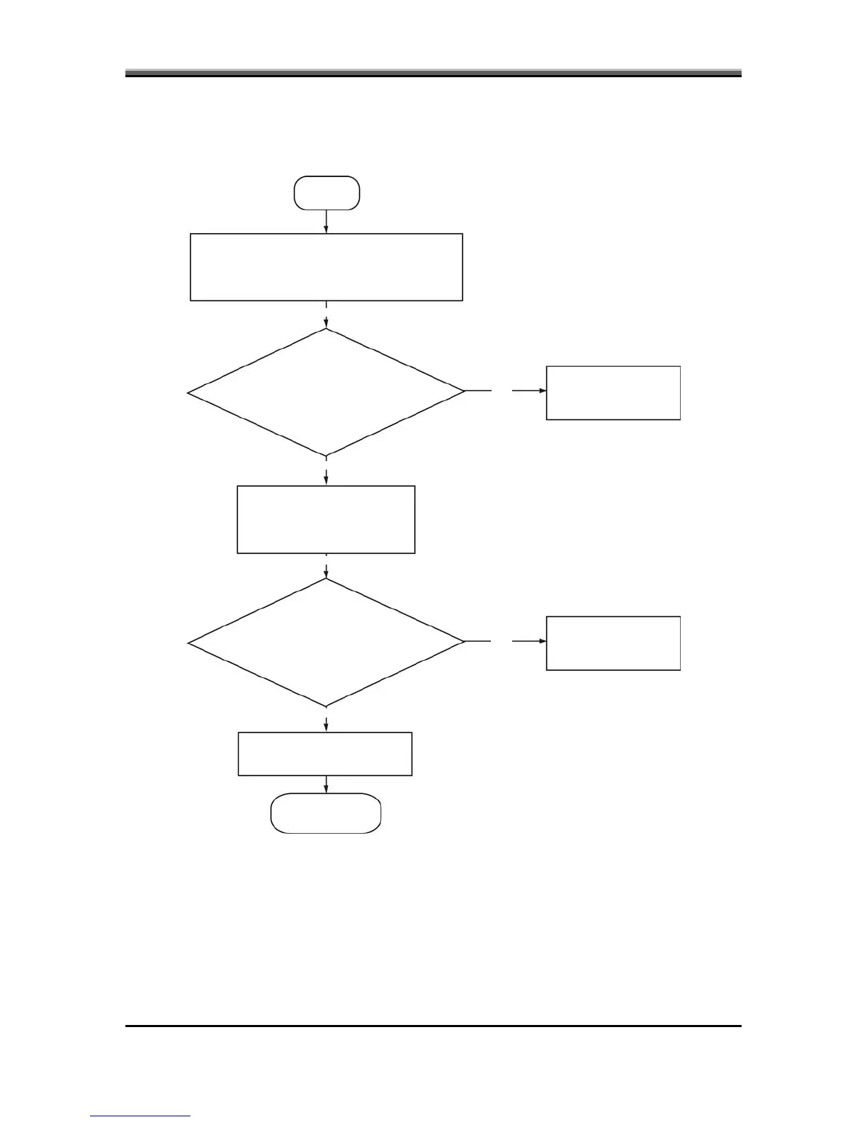
8. HDMI troubleshooting
START
Perform HDMI connection check
(Procedure 1)
Does replace HDMI cable
function property?
Replace HDMI
cable
Perform HDMI set
check (Procedure 2)
HDMI functioning
OK?
Use different
HDMI set
Replace system board
END
Figure 6-7 HDMI troubleshooting process
Yes
Yes
Yes
Yes
No
No
6-19

Table of Contents

Related product manuals