EasyManua.ls Logo

Flymaster LIVE C - Increments; Cadence; Buzzer

Flymaster LIVE C
105 pages
Print Icon
To Next Page IconTo Next Page
To Next Page IconTo Next Page
To Previous Page IconTo Previous Page
To Previous Page IconTo Previous Page
Loading...
Page 71
Flymaster Live C User Manual
Increments- The Increments parameter sets the frequency increment for each 0.1 m/s climb rate
increase. The increments can be set from 1 to 99 Hz. The pre-set value for Increments is 10 Hz.
Considering an Increments value of 10, and Base Frq of 700 Hz, the vario frequency at 1 m/s is 800 Hz.
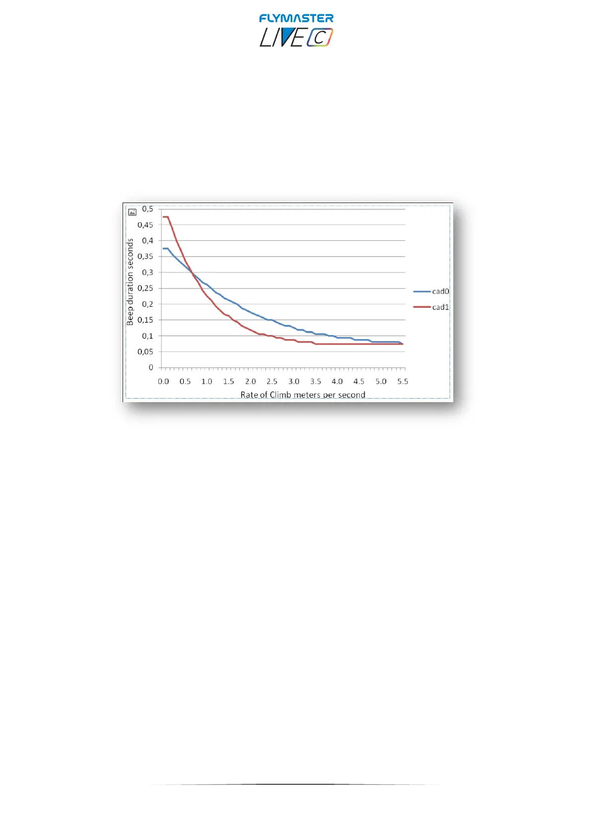
Cadence - When a rate of climb is higher than that specified by the Climb threshold the LIVE C creates
a beeping sound. The rate (cadence) of the beeps increases as the climb rate increases. This increase in
rate is not linear. The cadence parameter specifies which cadence curve should be used. Current there are
2 possibilities represented in the graph of Figure bellow.
Buzzer - Is so called because of the sound it emits, which resembles a buzzing sound.
The buzzer sound is produced when the rate of climb is close to, but has not yet reached the specified Climb
threshold. This value is set between 0 and 9 with each unit corresponding to be 0.1 m/s, ie. 3 is 0.3m/s.
Subtracting this decimal value from the climb threshold will give us the value at which the LIVE C will start
buzzing. For example with the LIVE C default values, Climb threshold=0.1m/s, and Buzzer=3 (0.3m/s) the
buzzing with start at -0.2m/s because 0.1 - 0.3= -0.2. In this case at 0.1m/s directly below the Climb threshold
the LIVE C will emit a constant sound varying rapidly in pitch from around 100hz to the set base frequency
at which the first beep is emitted. This is the buzzer sound and may resemble a growl noise. Setting the
Buzzer value to O˙ will disable the buzzer feature.
Although the Buzzer will sound very annoying on the ground it becomes an amazing companion in flight
allowing the pilot to pick-up thermals he would have usually missed

Table of Contents

Related product manuals