EasyManua.ls Logo

JUMO 703041 - Shifting the Program Profile

JUMO 703041
78 pages
Print Icon
To Next Page IconTo Next Page
To Next Page IconTo Next Page
To Previous Page IconTo Previous Page
To Previous Page IconTo Previous Page
Loading...
33
5 Operation
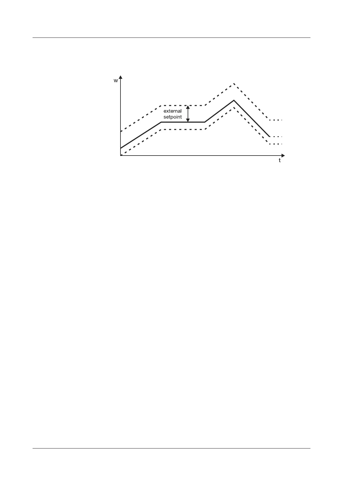
5.6.3 Shifting the program profile
The function “External setpoint with correction” can be used to shift the program
profile upwards or downwards (configurable through the setup program only).
The external setpoint is defined via an analog signal.
v Chapter 8.2 “Controller “Cntr””

Related product manuals