EasyManua.ls Logo

LG multi V PLUS - Outdoor Unit LEV Troubles

LG multi V PLUS
373 pages
Print Icon
To Next Page IconTo Next Page
To Next Page IconTo Next Page
To Previous Page IconTo Previous Page
To Previous Page IconTo Previous Page
Loading...
Service Manual 287
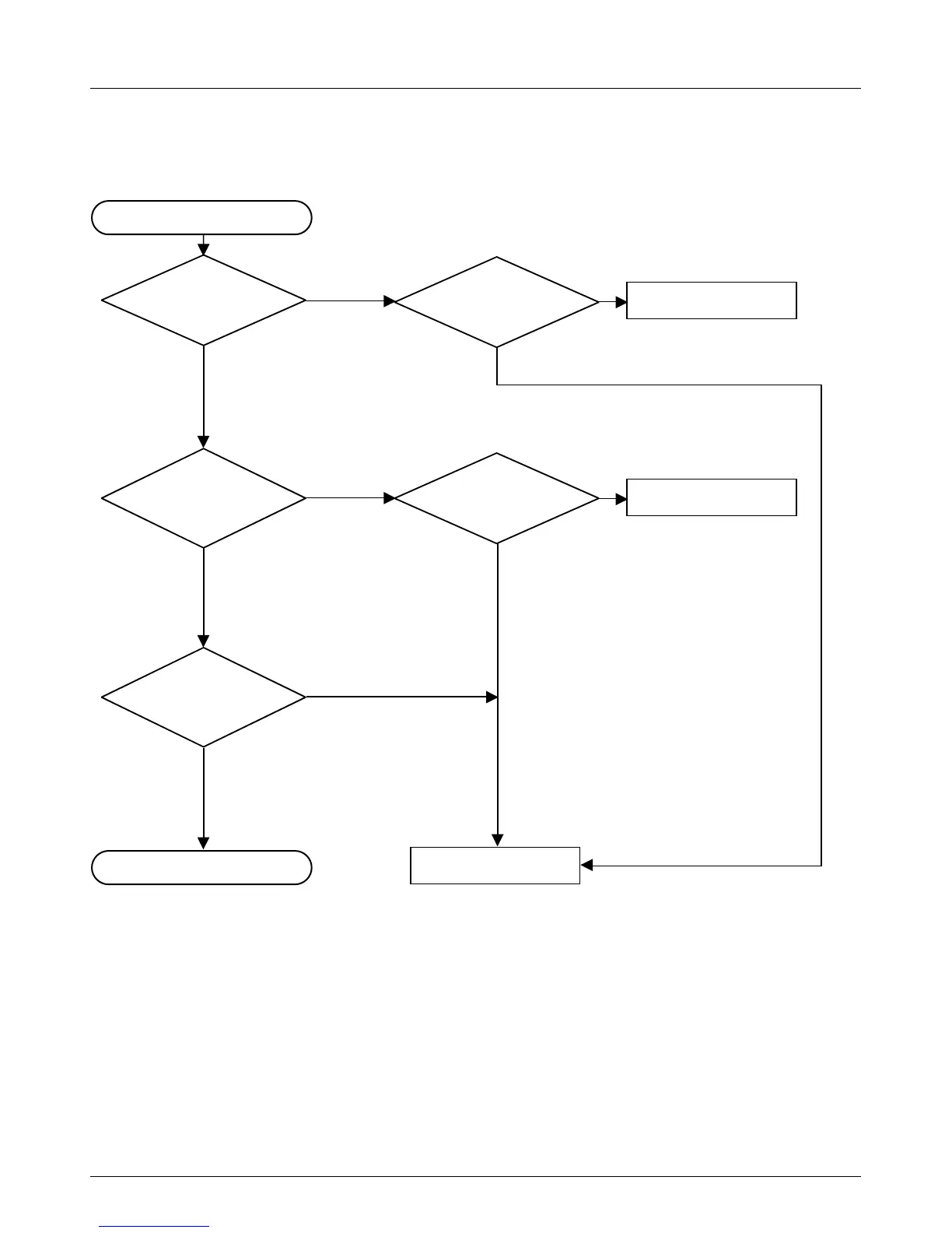
NoNo
No
No
No
Yes
Do you feel
initialization vibration when
applying initial power?
Start of check.
Replace the PCB.
Outdoor Unit LEV.
No failure of outdoor unit LEV.
Yes
Yes
Yes
Yes
Is power supplied to the
outdoor unit LEV?
Replace the check valve.
Is the check valve normal?
Replace the
outdoor unit LEV
It is difficult to separate coils and the main
body for the outdoor unit LEV,
and it is impossible to mount them again.
Is there temperature
difference between front end and
rear end of LEV in
cooling operation?
Is there temperature
difference between front end and
rear end of LEV in
heating operation?
Self-diagnosis function

Table of Contents

Related product manuals