EasyManua.ls Logo

Morgana CT620Exa - CUTTING SEQUENCE

Morgana CT620Exa
59 pages
Print Icon
To Next Page IconTo Next Page
To Next Page IconTo Next Page
To Previous Page IconTo Previous Page
To Previous Page IconTo Previous Page
Loading...
15
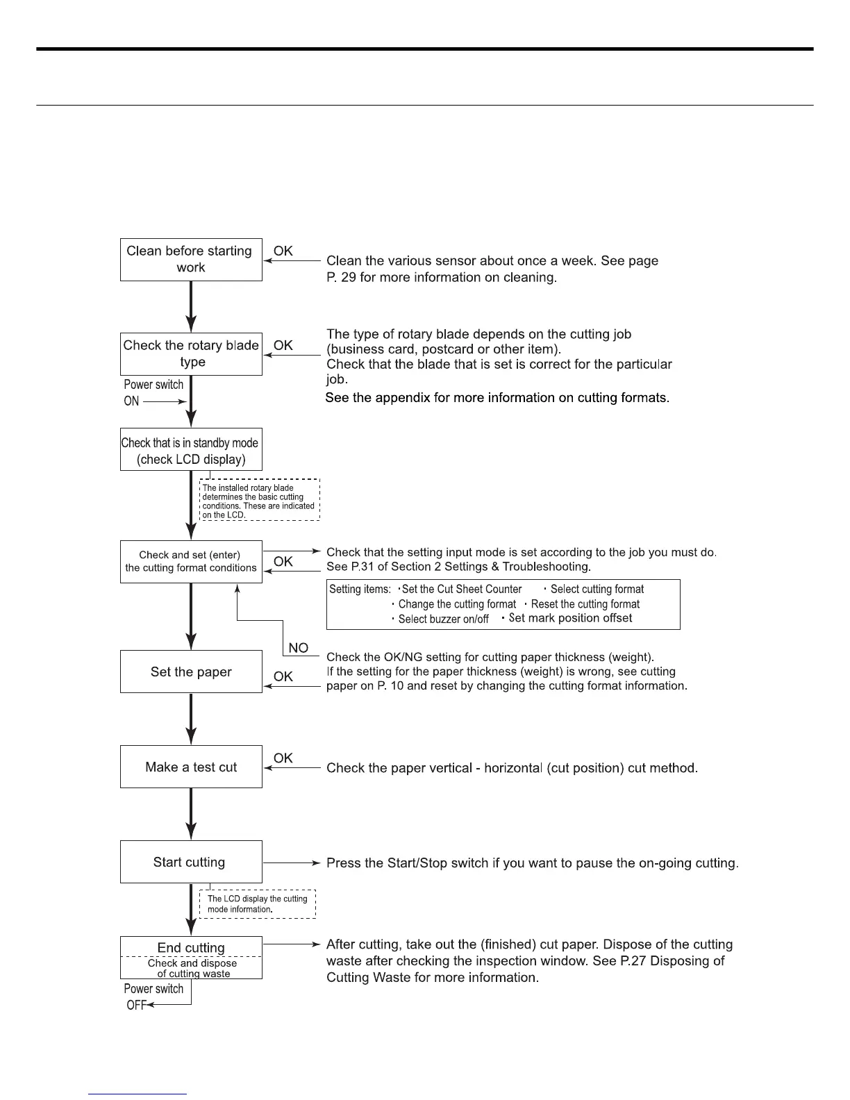
5. CUTTING SEQUENCE
ع
Flow of the cutting operation
To make full use of machine performance, carry out the cutting job as shown in the sequence
ow below.

Related product manuals