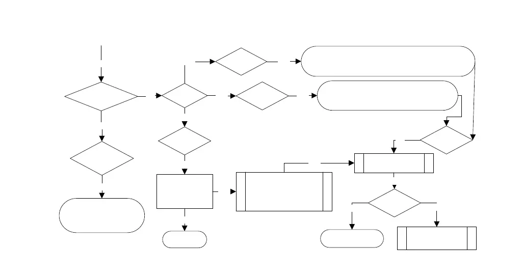
Gear Motor Runs? NO
YES
Lights on?
Gear Motor
Runs?
Replace Gear Motor
NO
Rebuild
Or
Replace Evaporator
Yes
YES
20M Light
On?
20 Minute Time Delay Period - Verify No Ice In Evaporator
Depress Control Board Reset Button To Override Delay Period
Perform Heavily Scaled Cleaning Procedure
Disconnect Motor
From Evaporator
YES
60M Light On?
2nd Light On?
Locked Out Due To Over Torque Condition
Verify No Ice In Evaporator
Depress Control Board Reset Button
Perform Heavily Scaled Cleaning Procedure
YES
YES
Gear Motor
Runs?
NO
Check For Line
Voltage @ Control
Board Drive & L2
Terminals
Replace
Control Board
NO
YES/NO
Verify:
Gear Motor Overload is
Closed
Start Relay Functions
Motor Windings Are OK
YES
YES
YES
DR or No
Lights On?
YES
Ice Machine Experienced
Over Torque Condition
Perform Heavily Scaled
Cleaning Procedure
YES
YES