EasyManua.ls Logo

Myray RX DC - Données Techniques

Myray RX DC
Print Icon
To Next Page IconTo Next Page
To Next Page IconTo Next Page
To Previous Page IconTo Previous Page
To Previous Page IconTo Previous Page
Loading...
FR
INSTRUCTIONS D’UTILISATION
129
10. DONNÉES TECHNIQUES
DONNÉES GÉNÉRALES
- Tension nominale : 230Vac/115Vac (selon le modèle).
- Tolérance maximale de la tension de secteur : ±10%.
- Courant nominal : 6A pour la version à 230Vac ; 10A
pour la version à 115Vac à 60KV 7mA.
- Fréquence : 50/60Hz.
- Puissance maximale absorbée : 1,4KVA.
- Résistance apparente en ligne : 0,5Ω (230Vac), 0,2Ω
(115Vac).
- Fusibles de protection : 6,3A T pour la version
230Vac ; 10A T pour la version 115Vac.
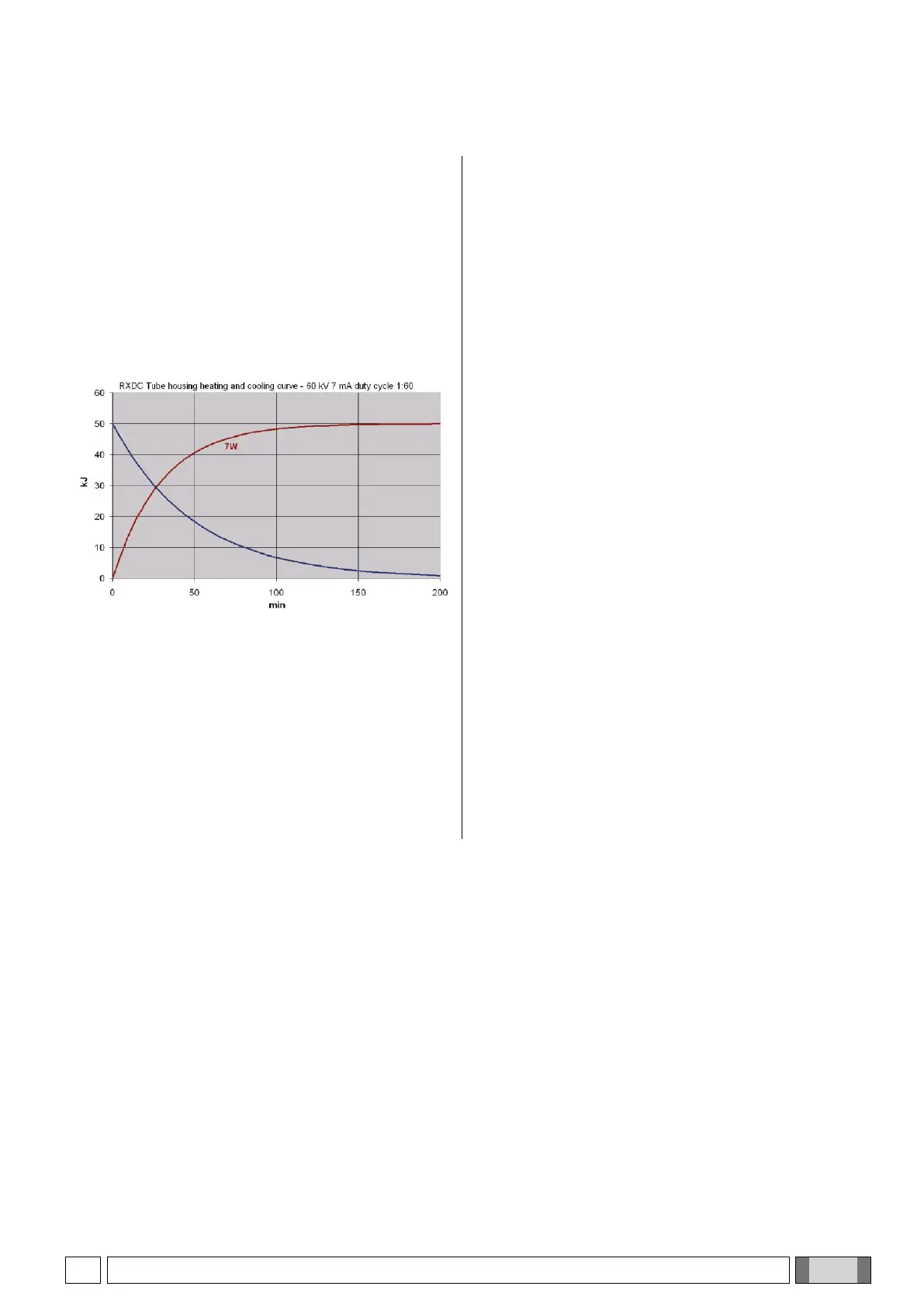
- Générateur : à potentiel constant.
- Haute tension nominale : 60 / 63 / 65KV.
- Courant nominal : 6 / 7mA.
- Puissance électrique nominale à 0,1 sec : 420W
(60KV 7mA), 378W (63KV 6mA), 390W (65KV 6mA).
- Produit courant temps de référence : 0,7 mAs (7mA -
0,1s) / 0,6 mAs (6mA - 0,1s).
- Foyer :
RX DC Plus : 0,4mm.
RX DC eXTend : 0,7mm.
- Filtration totale : 2,5mm Al @ 65KV.
- Couche émivalente (HVL) : >2mm Al @ 65KV.
- Radiation de fuite : <0,25mGy / h à 1 mètre du foyer à
65KV 6mA, duty cycle 1:60.
- Reproductibilité : 0,05.
- Classe électrique : Classe I Type B, service
intermittent.
- Temps d’exposition programmé : de 0,010 à 1,000
secondes.
- Précision des temps indiqués : ±10%.
- Précision visualisation mGy : ±30%.
POIDS
- Poids du produit emballé : 38Kg max.
- Poids de l'appareil radiographique seul : 25Kg.
- Poids du Palm : 0,3Kg.

Table of Contents

Other manuals for Myray RX DC

Related product manuals