EasyManua.ls Logo

Myray RX DC - Технические Характеристики

Myray RX DC
Print Icon
To Next Page IconTo Next Page
To Next Page IconTo Next Page
To Previous Page IconTo Previous Page
To Previous Page IconTo Previous Page
Loading...
RU
ИНСТРУКЦИИ ПО ПРИМЕНЕНИЮ
281
10. ТЕХНИЧЕСКИЕ ХАРАКТЕРИСТИКИ
ОБЩИЕ ДАННЫЕ
- Номинальное напряжение: 230 В пер.т./115 В
пер.т. (в зависимости от модели).
- Максимальное допускаемое отклонение
напряжения сети: ± 10%
- Номинальный ток: 6A для варианта исполнения
230В пер.т.; 10A для варианта исполнения 115В
пер.т 60KV 7mA.
- Частота: 50/60 Гц.
- Максимальная потребляемая мощность: 1,4 кВА
- Кажущееся сопротивление линии: 0,5 Ом (230Vac),
0,2 Ом (115Vac).
- Защитные плавкие предохранители: 6,3A T для
варианта исполнения 230В пер.т.; 10A T для
варианта исполнения 115В пер.т.
- Генератор: с постоянным потенциалом.
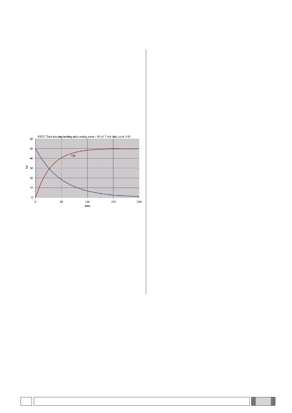
- Высокое номинальное напряжение: 60 / 63 / 65КВ.
- Номинальный ток: 6 / 7мА.
- Номинальная электрическая мощность за 0,1 сек:
420Вт (60КВ 7мА),378Вт (63КВ 6мА), 390Вт (65КВ
6мА).
- Произведение тока на время: 0,7 мАс (7мА - 0,1с) /
0,6 мАс (6мА - 0,1с).
- Фокусное пятно:
RX DC Plus: 0,4мм
RX DC eXTend: 0,7мм
- Общая фильтрация: 2,5мм Al @ 65KV.
- Полувалентный слой (HVL): >2mm Al @ 65КВ.
- Радиация утечки: < 0,25 мГр / ч в 1 метре от
фокуса 65KV 6mA, duty cycle 1:60.
- Воспроизводимость: 0,05.
- Электрическая классификация: Класс I - Тип В,
прерывистый режим работы.
- Заданное время экспонирования: от 0,010 до 1,000
секунд.
- Точность указанных интервалов времени: ±10%.
- Точность отображения мГр: ±30%.
МАССА
- Масса упаковки: Макс 38 (84фт) кг
- Вес только рентгеновского аппарата: 25кг (55 фт).
- Масса наладонника: 0,3 кг (0,7фт).

Table of Contents

Other manuals for Myray RX DC

Related product manuals