EasyManua.ls Logo

Myray RX DC - DISPOSING THE EQUIPMENT WHEN NO LONGER USED

Myray RX DC
Print Icon
To Next Page IconTo Next Page
To Next Page IconTo Next Page
To Previous Page IconTo Previous Page
To Previous Page IconTo Previous Page
Loading...
EN
OPERATOR'S MANUAL
77
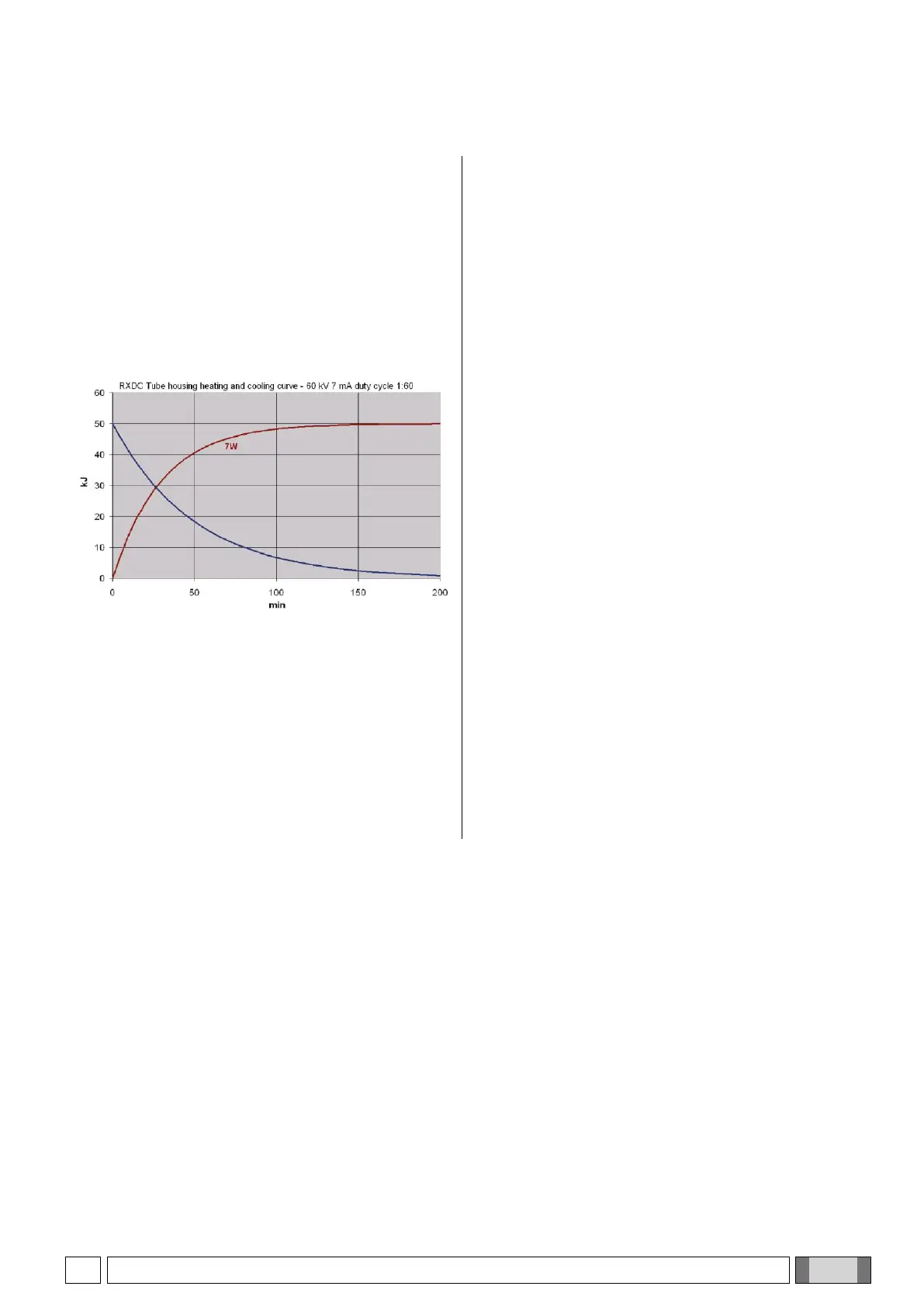
10. TECHNICAL DATA
SPECIFICATIONS
- Rated voltage: 230Vac/115Vac (according to the
model).
- Max. mains voltage fluctuation: ±10%.
- Maximum current: 6A for the 230Vac version;10A for
the 115Vac version at 60KV 7mA.
- Frequency: 50/60Hz.
- Maximum power absorbed: 1,4KVA.
- Apparent line resistance: 0,5Ω(230Vac),
0,2Ω(115Vac).
- Fuses: 6.3A T for the 230Vac version; 10A T for the
115Vac version.
- Generator: constant potential type.
- High nominal voltage: 60 / 63 / 65KV.
- Maximum current: 6 / 7mA.
- Power requirements at 0.1 sec: 420W (60KV 7mA),
378W (63KV 6mA), 390W (65KV 6mA).
- Current reference time: 0.7 mAs (7mA 0.1s) / 0.6
mAs (6mA 0.1s).
- Focal spot:
RX DC Plus: 0.4mm.
RX DC eXTend: 0.7mm.
- Total filtration: 2.5mm Al @ 65KV.
- Half-value layer (HVL): >2mm Al @ 65KV.
- Leaked radiation: <0.25mGy / h at 1 metre from
focusing at 65KV 6mA,duty cycle 1:60.
- Ability to be reproduced: 0.05.
- Electrical classification: Class I - Type B, intermittent
service.
- Set exposure time: from 0.010 to 1.000 seconds.
- Accuracy of times indicated: ±10%.
- mGy display precision: ±30%.
WEIGHTS
- Weight of the unit with packaging: 38Kg (84lb) max.
- Weight of the x-ray device: 25kg (55lb).
- Weight of the hand-held control panel: 0,3kg (0.7 lb).

Table of Contents

Other manuals for Myray RX DC

Related product manuals