EasyManua.ls Logo

Myray RX DC - Dati Tecnici

Myray RX DC
Print Icon
To Next Page IconTo Next Page
To Next Page IconTo Next Page
To Previous Page IconTo Previous Page
To Previous Page IconTo Previous Page
Loading...
IT
ISTRUZIONI PER L'USO
25
10. DATI TECNICI
DATI GENERALI
- Tensione nominale: 230Vac/115Vac (a seconda del
modello).
- Massima tolleranza della tensione di rete: ±10%.
- Corrente nominale: 6A per la versione a 230Vac; 10A
per per la versione a 115Vac a 60KV 7mA.
- Frequenza: 50/60Hz.
- Potenza massima assorbita: 1,4KVA.
- Resistenza apparente di linea: 0,5Ω (230Vac), 0,2Ω
(115Vac).
- Fusibili di protezione: 6,3A T per la versione 230Vac;
10A T per la versione 115Vac.
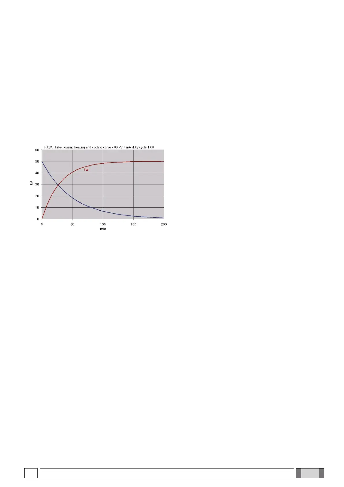
- Generatore: a potenziale costante.
- Alta tensione nominale: 60 / 63 / 65KV.
- Corrente nominale: 6 / 7mA.
- Potenza elettrica nominale a 0,1 sec: 420W (60KV
7mA), 378W (63KV 6mA), 390W (65KV 6mA).
- Prodotto corrente tempo di riferimento: 0,7 mAs (7mA
- 0,1s) / 0,6 mAs (6mA - 0,1s).
- Macchia focale:
RX DC Plus: 0,4mm.
RX DC eXTend: 0,7mm.
- Filtrazione totale: 2,5mm Al @ 65KV.
- Strato emivalente (HVL): >2mm Al @ 65KV.
- Radiazione di fuga: <0,25mGy / h a 1 metro dal fuoco
a 65KV 6mA, duty cycle 1:60.
- Riproducibilità: 0,05.
- Classificazione elettrica: Classe I - Tipo B, servizio
intermittente.
- Tempo di esposizione impostato: da 0,010 a 1,000
secondi.
- Precisione dei tempi indicati: ±10%.
- Precisione visualizzazione mGy: ±30%.
PESI
- Peso della confezione imballata: 38Kg (84lb) max.
- Peso del solo radiografico: 25Kg (55 lb).
- Peso del palmare: 0,3Kg (0,7 lb).

Table of Contents

Other manuals for Myray RX DC

Related product manuals