EasyManua.ls Logo

Myray RX DC - Specyfikacja Techniczna

Myray RX DC
Print Icon
To Next Page IconTo Next Page
To Next Page IconTo Next Page
To Previous Page IconTo Previous Page
To Previous Page IconTo Previous Page
Loading...
PL
INSTRUKCJA OBSŁUGI
231
10. SPECYFIKACJA TECHNICZNA
DANE OGÓLNE
- Napięcie znamionowe: 230Vac/115Vac (zależnie od
modelu).
- Maksymalne wahania napięcia w sieci: ±10%.
- Natężenie znamionowe: 6A dla wersji 230Vac; 10A
dla wersji 115Vac przy 60KV 7mA.
- Częstotliwość: 50/60Hz.
- Maksymalna pobierana moc: 1,4KVA.
- Oporność pozorna linii: 0,5Ω (230Vac), 0,2Ω
(115Vac).
- Bezpieczniki: 6,3A T dla wersji 230Vac; 10A T dla
wersji 115Vac.
- Generator o stałym potencjale.
- Wysokie napięcie znamionowe: 60 / 63 / 65KV.
- Natężenie znamionowe: 6 / 7mA.
- Znamionowa moc elektryczna przy 0,1 sek: 420W
(60KV 7mA), 378W (63KV 6mA), 390W (65KV 6mA).
- Natężenie prądu dla czasu referencyjnego: 0,7 mAs
(7mA - 0,1s) / 0,6 mAs (6mA - 0,1s).
- Ogniskowa:
RX DC Plus: 0,4mm.
RX DC eXTend: 0,7mm.
- Filtracja całkowita: 2,5mm Al @ 65KV.
- Grubość powłoki pochłaniającej 50% promieniowania
(HVL): >2mm Al @ 65KV.
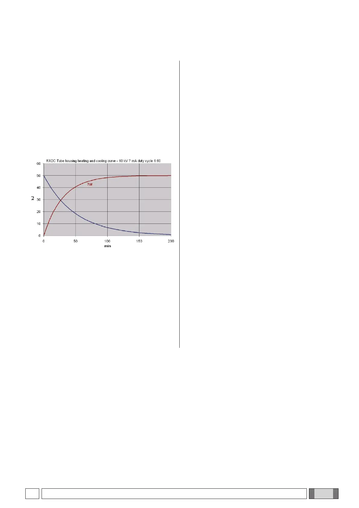
- Promieniowanie rozproszone: <0,25mGy / h na 1 metr
od punktu ogniskowego 65KV 6mA, duty cycle 1:60.
- Zdolność odtwarzania: 0,05.
- Klasyfikacja elektryczna: Klasa I - Typ B, praca
przerywana.
- Ustawiony czas ekspozycji: od 0,010 do 1,000
sekund.
- Dokładność wskazanych czasów: ±10%.
- Dokładność wyświetlania mGy: ±30%.
CIĘŻAR
- Ciężar zapakowanego urządzenia: 38Kg (84lb) max.
- Ciężar samego urządzenia radiologicznego: 25Kg (55
lb).
- Ciężar palmtopa: 0,3Kg (0,7 lb).

Table of Contents

Other manuals for Myray RX DC

Related product manuals