EasyManua.ls Logo

Siemens SINUMERIK 840D

Siemens SINUMERIK 840D
2184 pages
To Next Page IconTo Next Page
To Next Page IconTo Next Page
To Previous Page IconTo Previous Page
To Previous Page IconTo Previous Page
Loading...
Detailed description
2.4 LookAhead
Basic logic functions: Continuouspath Mode, Exact Stop, LookAhead (B1)
48 Function Manual, 11/2006, 6FC5397-0BP10-2BA0
Y
Y
V
11111



PD[
9HORFLW\SURJUHVVLRQZLWKDQGRYHUULGH
9HORFLW\SURILOHDQG

3URJUDPPHG
VHWSRLQW
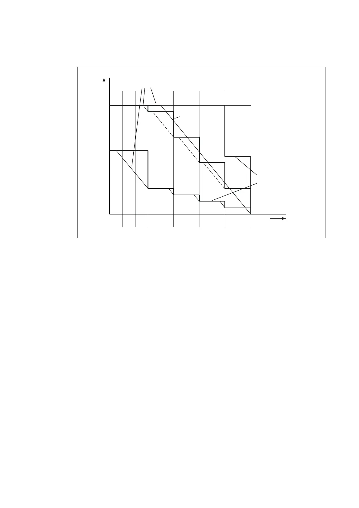
Figure 2-14 Example for limiting velocity characteristics with number of LookAhead blocks = 4
... and the following settings:
MD20430 $MC_LOOKAH_NUM_OVR_POINTS = 2
MD20440 $MC_LOOKAH_OVR_POINTS = 1.5, 0.5
MD20400 $MC_LOOKAH_USE_VELO_NEXT_BLOCK = 1
Block cycle problem
Block cycle problems are encountered in cases where the traversing distances of the NC
blocks to be processed are so short that the LookAhead function has to reduce the machine
velocity to provide enough time for block processing. In this situation, constant braking and
acceleration of path motion may occur.
Velocity fluctuations of this type can be dampened by the machine data:
MD20450 $MC_LOOKAH_RELIEVE_BLOCK_CYCLE (relieving factor for the block cycle
time)
Selection and deselection of LookAhead
The LookAhead function is selected and deselected with continuouspath mode (G64 or G641
respectively).

Table of Contents

Other manuals for Siemens SINUMERIK 840D

Related product manuals