EasyManua.ls Logo

SPM A2011 - Bearing Damage; The COMP Number

SPM A2011
85 pages
Print Icon
To Next Page IconTo Next Page
To Next Page IconTo Next Page
To Previous Page IconTo Previous Page
To Previous Page IconTo Previous Page
Loading...
15
Technical data are subject to change without notice.
ISO 9001 certified. © Copyright SPM 1996-9. 71416.B
SPM Instrument AB Box 4 S-645 21 Strängnäs Sweden
Tel +46 152 22500 Fax +46 152 15075 info@spminstrument.se www.spminstrument.se
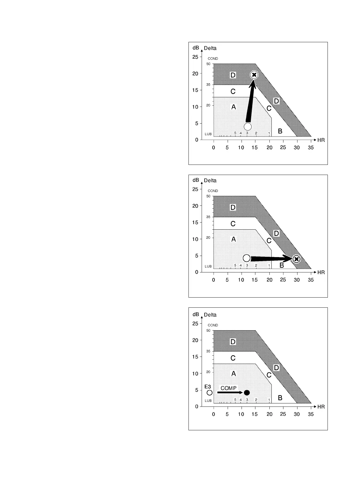
Surface Damage in Rolling Bearings
Figures 22 and 23 illustrate two of the many possible
ways in which a bearing can go from good to bad
condition.
Developing surface damage causes a marked increase
of the bearing's delta value (HR remains low while LR
increases). This will cause the condition code to change
from A to C to D, and produce rising COND Nos. (fig.
22).
In a bearing wearing out through metal fatigue, this
development normally takes a long time. Note, how-
ever, that bearings can sustain sudden damage, e.g.
through electric current, corrosion and vibration dur-
ing idle periods, etc.
Damage through Bad Lubrication
Poor lubrication can rapidly lead to bearing damage.
The bearing in fig. 23 shows decreasing LUB num-
bers. The condition code changes from A to B (=dry
running), then to D as damage develops and increa-
ses.
Note that the COND No. scale follows the field
boundaries. Thus, the COND No. increases as the
bearing moves through field B towards D.
The COMP Number
SPM's evaluation rules presuppose that the signal
path between bearing and transducer is short, straight
and unbroken, and that the transducer is placed in the
load zone and pointed straight at the bearing.
In practice, correct measuring points cannot always
be reached. The result can be an abnormally low
shock pulse signal, producing the error code E3 (Sig-
nal too low). In such cases, the compensation num-
ber (COMP No.) can be used to compensate for loss
of signal strength. If programmed as part of the input
data, it will be added to the measured and displayed
LR/HR readings before the reading is evaluated and
turned into condition codes.
In Manual mode, the A2011 has a function for auto-
matic COMP No. calculation. SPM also supplies the
computer program LUBMASTER which helps to calcu-
late COMP Nos. on the basis of bearing type, rpm,
operating temperature, lubricant used, etc. (see also
page 31).
Fig. 24
Fig. 23
Fig. 22

Table of Contents

Related product manuals