EasyManua.ls Logo

SPM A2011 - Systematic Vibration Monitoring

SPM A2011
85 pages
Print Icon
To Next Page IconTo Next Page
To Next Page IconTo Next Page
To Previous Page IconTo Previous Page
To Previous Page IconTo Previous Page
Loading...
19
Technical data are subject to change without notice.
ISO 9001 certified. © Copyright SPM 1996-9. 71416.B
SPM Instrument AB Box 4 S-645 21 Strängnäs Sweden
Tel +46 152 22500 Fax +46 152 15075 info@spminstrument.se www.spminstrument.se
Fig. 31
Systematic vibration measurement includes recording
and trending, to be able to follow the gradual change
of machine vibration over longer periods of time.
The purpose is to obtain data for condition based
maintenance. Condition based maintenance, as op-
posed to periodic overhauls, is only carried out when
machine condition measurements show that repairs
are needed. This requires measurements at regular
intervals, and the recording and evaluation of the
results.
There are no general rules about how often vibration
should be measured. The intervals between readings
a day, a week, perhaps a whole month depends
wholly on the individual machine, its importance for
the plant, and on the rate of change in its vibration
level.
Normal
Report change+ 1 step
Maintenance
activities
+ 2 steps
+ 3 steps
+ 4 steps
Report large increase
Report dangerous increase
Routine
maintenance
(lubrication, etc.)
Inspection,
minor repairs
Plan major
overhaul
(Shutdown)
Effect repairs
Breakdown
Vibration
measurements
To be able to plan ahead and work efficiently, a main-
tenance department needs easily interpreted informa-
tion on all significant changes in machine condition.
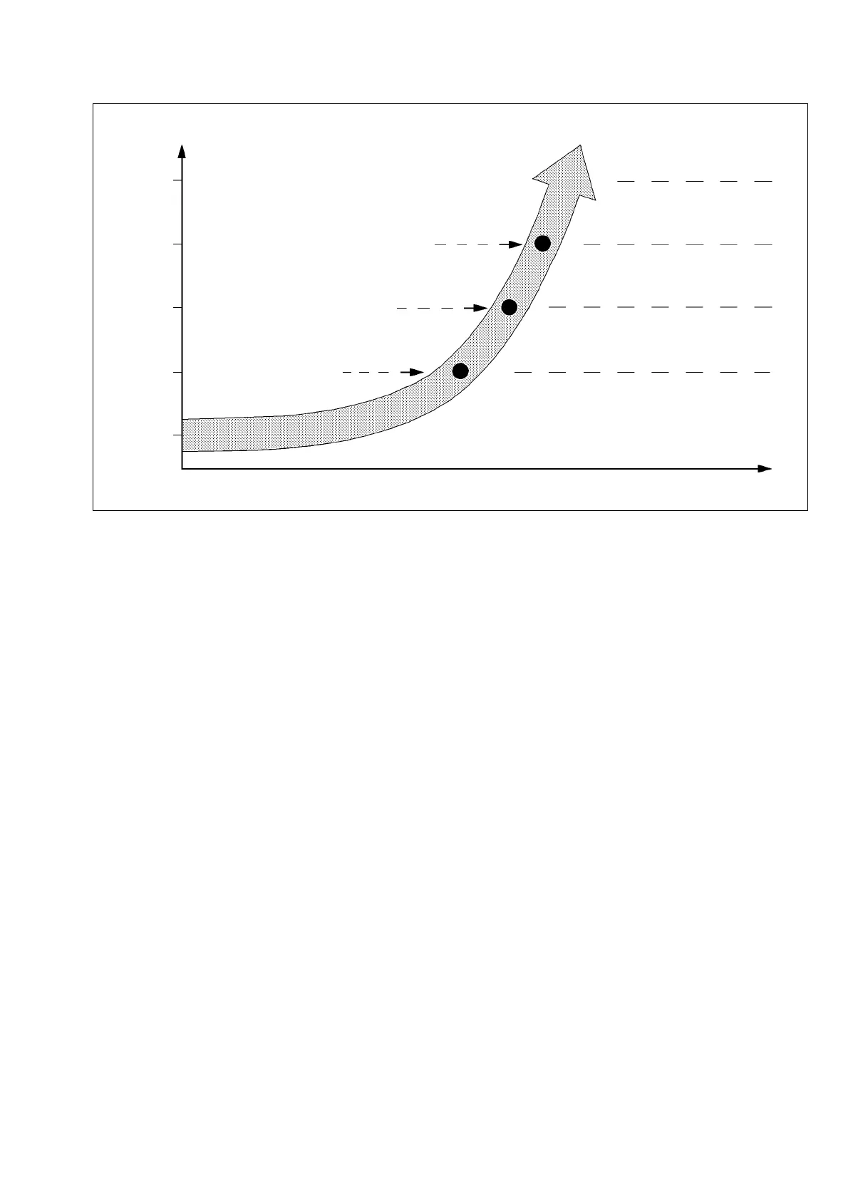
Reporting changes in steps, rather than giving the
actual vibration severity figures, is the simplest way of
indicating the extent and urgency of a maintenance
problem.
A one step change (1.6 times increase) is generally
regarded as significant and should be reported. It is a
first warning of deteriorating condition. At this stage,
tightening a few bolts or adjusting a belt may be
sufficient to get rid of the excess vibration. A two
step increase (= one condition zone) should always be
investigated. Three steps up is a fourfold increase, an
alarming change demanding immediate action.
Systematic Vibration Monitoring

Table of Contents

Related product manuals