EasyManua.ls Logo

ST ST7 - Interrupt Controller

ST ST7
317 pages
Print Icon
To Next Page IconTo Next Page
To Next Page IconTo Next Page
To Previous Page IconTo Previous Page
To Previous Page IconTo Previous Page
Loading...
24/317
2 - How does a typical microcontroller work?
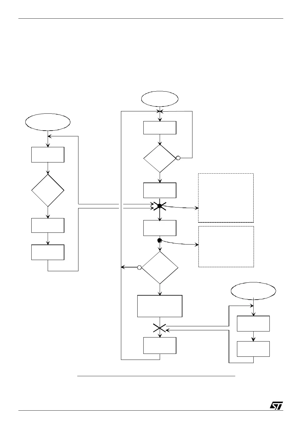
2.2.4 Interrupt Controller
This is a piece of logic circuitry that manages the implementation of the interrupt concept de-
scribed later in this chapter. Interrupts are the most common means of altering the normal
course of the program, when an unexpected event (or an expected one but occurringat an un-
expected time) occurs. It may be more or less complicated according to the features it pro-
vides.
02-inter
Interrupt #2
enabled
Interrupt #2
Interrupt #2
requested
but masked
Non maskable or
authorized
interrupt #1
requested
Interrupt #1
Main
Flowchart of a program with interrupt sub-routines
The main
program
is
interrupted
Return
to the main
program
The main
program
is
interrupted
Return
to the main
program

Table of Contents

Related product manuals