EasyManua.ls Logo

Terex RT700 - Page 236

Terex RT700
404 pages
Print Icon
To Next Page IconTo Next Page
To Next Page IconTo Next Page
To Previous Page IconTo Previous Page
To Previous Page IconTo Previous Page
Loading...
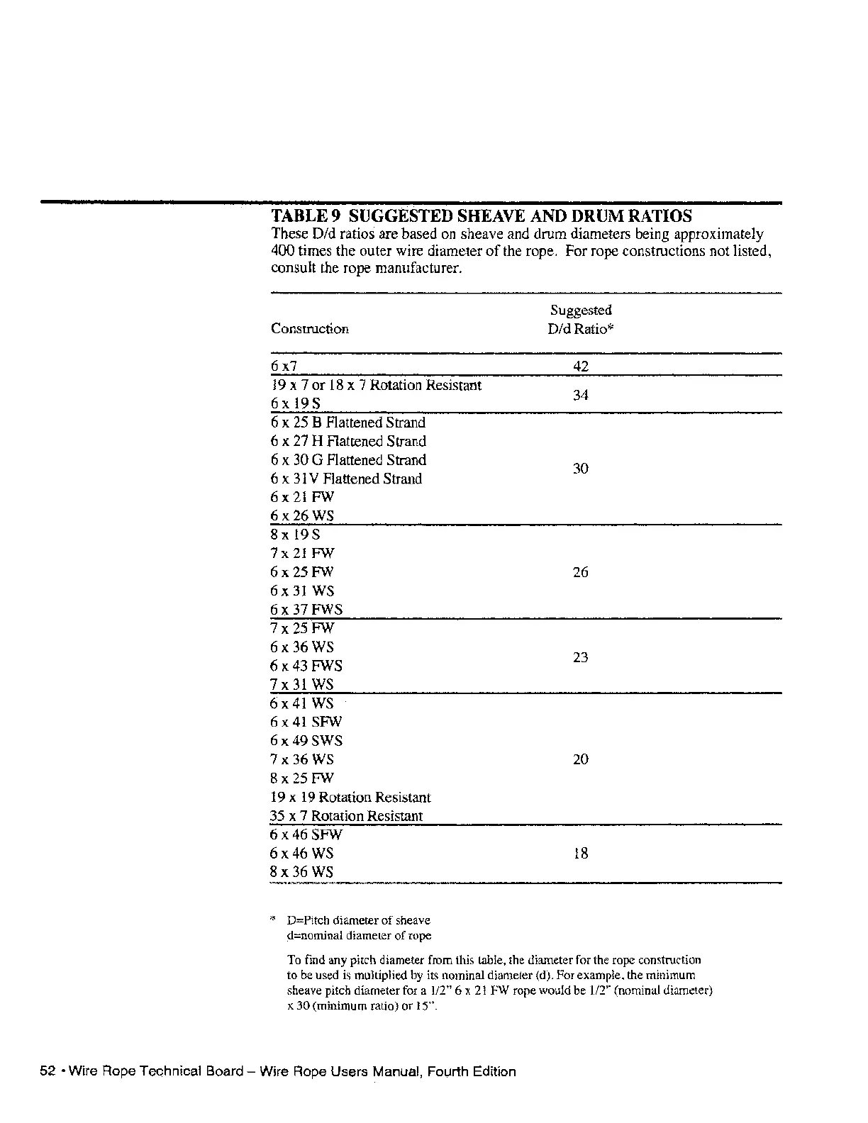
TABLE
9
SUGGESTED
SHEAVE
AND
DRUM
RATIOS
These Old ratios are based on sheave and drum diameters being approximately
400 times the outer wire diameter
of
the rope. For rope constructions not listed,
consult the rope manufacturer.
Construction
6x7
19
x 7 or
18
x 7 Rotation Resistant
6x
19S
6 x
25
B Flattened Strand
6 x 27 H Flattened Strand
6 x 30 G Flattened Strand
6 x
31
V Flattened Strand
6x21
FW
6x26WS
8 x
19
S
7x21
FW
6x25FW
6x31
WS
6x37FWS
7x25FW
6x36WS
6x43FWS
7
x31
WS
6x41
WS
6x41
SFW
6x49SWS
7x36WS
8x25FW
19 x
19
Rotation Resistant
35 x 7 Rotation Resistant
6x46SFW
6x46WS
8x36WS
* D=Pitch diameter
of
sheave
d=nominal diameter
of
rope
Suggested
Old Ratio*
42
34
30
26
23
20
18
To find any pitch diameter from this table, the diameter for the rope construction
to be used is multiplied by its nominal diameter (d). For example, the minimum
sheave pitch diameter for a
112"
6 x
21
FW rope would be 1/2" (nominal diameter)
x
30 (minimum ratio) or 15",
52·
Wire Rope Technical Board - Wire Rope Users Manual,
FOl,.lrth
Edition

Table of Contents

Related product manuals