EasyManua.ls Logo

TOHO TTM-i4N - Page 48

TOHO TTM-i4N
74 pages
Print Icon
To Next Page IconTo Next Page
To Next Page IconTo Next Page
To Previous Page IconTo Previous Page
To Previous Page IconTo Previous Page
Loading...
48
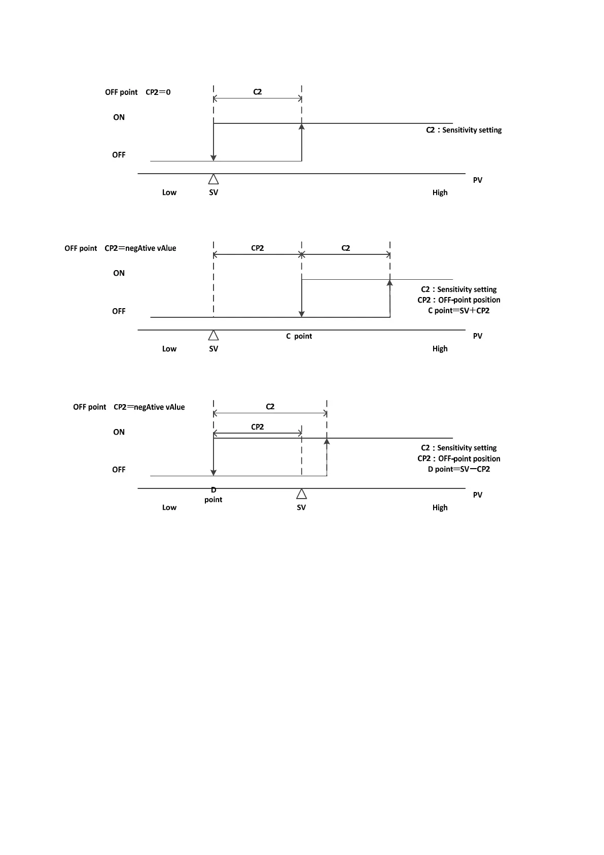
Sets the position of OFF point (offset for SV) for the ON/OFF operation of direct action.

Table of Contents