EasyManua.ls Logo

TOHO TTM-i4N - Event 1;2 Start (on Delay, off Delay)

TOHO TTM-i4N
74 pages
Print Icon
To Next Page IconTo Next Page
To Next Page IconTo Next Page
To Previous Page IconTo Previous Page
To Previous Page IconTo Previous Page
Loading...
64
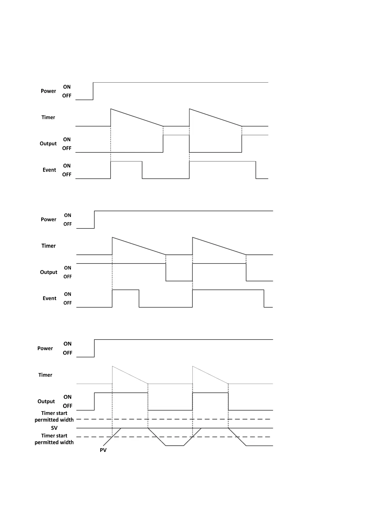
Event 1/2 Start (ON Delay, OFF Delay)
ON Delay
When the timer starts to count itself up with the occurrence of the event, the control begins/turns output of Event 1/2 ON.
(Can start manually after the counting)
OFF Delay
When the timer starts to count itself up with the occurrence of the event, the control begins/turns output of Event 1/2 OFF.
(Can start manually after the counting)
SV Start
When the timer starts to count itself up as the value reaches SV, the control begins/turns output of Event 1/2 OFF.

Table of Contents