EasyManua.ls Logo

Tuttnauer ELARA - Adjusting Cycle Parameters

Tuttnauer ELARA
58 pages
Print Icon
To Next Page IconTo Next Page
To Next Page IconTo Next Page
To Previous Page IconTo Previous Page
To Previous Page IconTo Previous Page
Loading...
Page 30 of 56
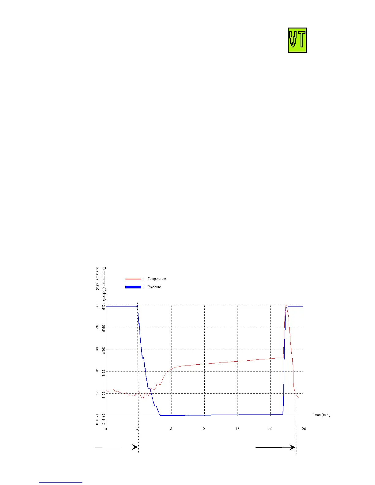
5.8. Test 2: VacTest
Note:
Before performing this test, verify that the autoclave is cold and
that the autoclave is dry (not humid and no water drops).
Vacuum is produced in the chamber down to P
1
=17 kPa. At this stage
all the valves are close. The autoclave remains in this stage for 5
minutes. This period enables the condition in the chamber to reach
equilibrium. After the 5 minutes have elapsed the printer records the
pressure that is referred to as P
2
. At this point the test begins and lasts
10 minutes. At the end of the test, the printer records the results. The
pressure at the end of the test is referred to as P
3
. The rate of change of
P
3
-P
2
shall not exceed 0.13 kPa/min. If P
3
-P
2
exceed 1.3 kPa the printer
will print “TEST FAIL”. If P
3
-P
2
is within the required value, the cycle
will end successfully and the printer will print "TEST ENDED".
Nominal parameters
Cycle time: 20 minutes.
Operations Sequence
Vacuum is produced into the chamber down to 17 kPa.
The vacuum pump stops.
Note:
During the test period the autoclave is not heated.
Cycle start
Cycle end

Related product manuals