EasyManua.ls Logo

Abbott Prodigy 3855 - Maintaining the IPG Battery; Troubleshooting; Troubleshooting Procedure

Abbott Prodigy 3855
48 pages
Print Icon
To Next Page IconTo Next Page
To Next Page IconTo Next Page
To Previous Page IconTo Previous Page
To Previous Page IconTo Previous Page
Loading...
Clean the programmer as needed by wiping o the outer surface using a moist cloth and a small amount of
mild soap. Do not submerge the programmer in liquids or use a cloth that is saturated. Do not use alcohol,
cleaning soluons, or solvents to clean the programmer.
Maintaining the IPG Baer y
The IPG contains a lithium ion baery. The me it takes to recharge a baery depends on these factors: age of
the baery, daily usage me, smulaon sengs, and length of me since the last recharge. The following
graph shows how the rechargeable baery depletes over me.
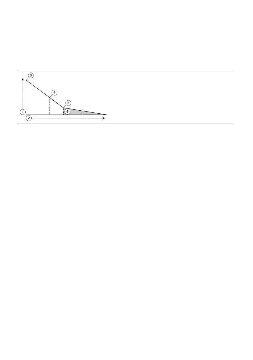
Figure 78. IPG baery depleon over me
1. Baery capacity1.
2. Time2.
3. Baery fully charged3.
4. Recharge noce4.
5. Smulaon stops5.
6. Recharge within 30 to 90 days6.
If the paent does not recharge the baery, smulaon will eventually stop, and the paent then must
recharge the baery to prevent baery damage. Aer smulaon stops, a new baery can last up to 90 days
before it must be recharged, while a ten-year-old baery should be recharged within 30 days.
When the IPG is used at high smulaon parameters for tonic programs or at nominal smulaon parameters
for
BurstDR
smulaon programs, baery usage studies demonstrate that the baery should allow at least
ten years of praccal recharging. In other words, a ten-year-old device will maintain at least 24 hours of
connuous therapy between recharges.
Depending on the paent’s smulaon parameters, the device will connue to operate for months to years.
Paents may experience a signicantly longer device life before recharging is determined to be impraccal if
they use lower smulaon parameters, a frequent recharging protocol, or both. Frequent recharging can
reduce charging session mes and maximize the IPG’s life.
NOTE: The model used to predict device longevity was generated by ng a mathemacal model to three
years of real-me cycling data, which was then used to extrapolate device baery capacity at the end of ten
years.
Troubleshoong
This secon provides troubleshoong procedures to help you idenfy and solve problems that may occur.
NOTE: Keep funconal backup items on hand. Especially keep the following items available during
intraoperave tesng: trial smulator, trial cable, and fresh baeries.
Troubleshoong Procedure
If a paent programmer or IPG problem is suspected, follow these steps to help solve or isolate the problem:
NOTE: Always set the amplitude to zero before making adjustments; then slowly increase the amplitude to
test the eect of the change.
1. Check the programmer screen for a diagnosc message. If there is one, connue with “Troubleshoong a1.
Diagnosc Message” (page 33) and try the soluon.
2. Verify that the IPG power is on.2.
3. Verify that the amplitude is at the correct level.3.
4. Wait for the programmer power to shut o (approximately one minute).4.
5.
Turn on the programmer again.
5.
6.
Begin smulaon and adjust the amplitude to a comfortable level.
6.
7.
Try the suggested soluon on the appropriate troubleshoong chart: “Troubleshoong Chart for
7.
Intraoperave Tesng” (page 34) or “Troubleshoong Chart for Postoperave Programming” (page 35).
8.
Call Technical Support.
8.
32

Table of Contents

Related product manuals